11.1.1 三类偏微分方程
三类偏微分方程分别为:
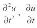
双曲型:
抛物线型:
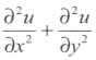
椭圆型:
(https://www.daowen.com)
其中,
分别为
和
。
从上面的方程表达式中不难看出,椭圆型方程与抛物线型方程的区别仅在于前者忽略了时间对物理常量变化的影响,从某种意义上说,椭圆型方程是抛物线型方程在稳态情况下的特例。
当系数a、c及零次项f与物理场量u有关时,称方程为非线性方程(Nonlinear);当系数a、c、f为常数时,称为线性方程(Linear)。当f不等于0时,称为非齐次方程;当f等于0时,称为齐次方程。