17.1 单侧吊索脱落简化力学模型和常微分方程
2026年01月14日
17.1 单侧吊索脱落简化力学模型和常微分方程
一般地,在头体对接、整弹转载和弹筒装填等过程中,需要对弹箭进行吊装操作,如图17-1所示。在吊装过程中,有时因双吊车运行不同步、吊索断裂或包带脱落等问题,可能导致弹箭跌落并坠撞地面,进而引发安全事故。

图17-1 典型的吊装过程
本章仅考虑单侧吊索脱落工况,对弹箭的质心运动进行运动学分析,进而得到整弹的运动规律。首先建立单侧吊索脱落时弹箭简化力学模型,即双吊索悬挂的弹箭,弹箭结构为圆柱和圆锥构成的组合体,忽略吊索和弹箭之间的相对滑动,如图17-2所示。
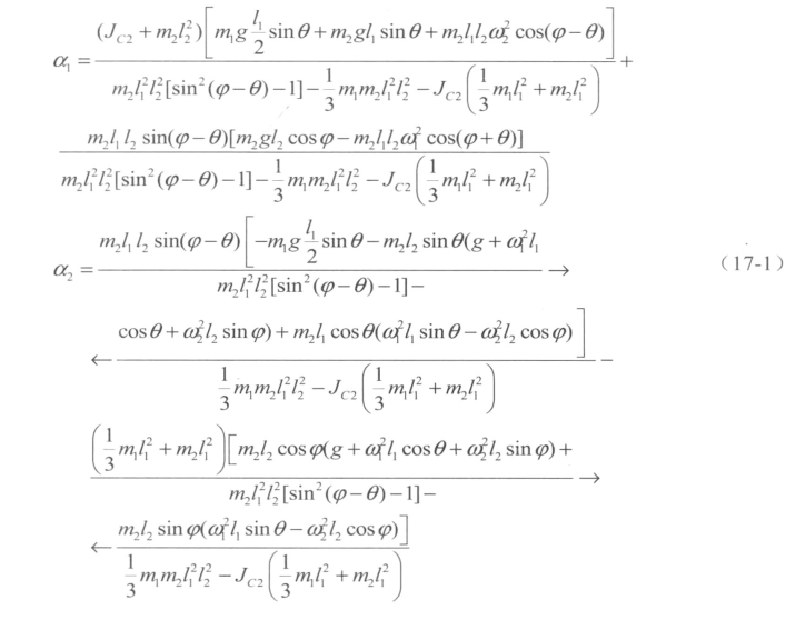
通过对该系统进行运动学分析可知,绳索一直处于拉力状态,因此可将弹箭和绳索简化为质量均匀的刚性杆BC和OA,其质心分别为C2和C1,连接方式均为铰接。在右侧绳索断裂瞬时,左侧绳索和弹箭的角速度都为零。设绳索和竖直平面的夹角为θ,弹箭和水平平面的夹角为ψ,绳索和弹箭的角加速度分别为α1和α2。其受力分析如图17-3所示。
(https://www.daowen.com)
图17-2 弹箭吊装模型简化示意图

图17-3 模型系统的受力分析图
利用达朗贝尔原理,可得到吊索和弹箭质心处的角加速度α1和α2解析表达式,即得到了单侧吊索脱落时弹箭的运动学控制方程:
