17.3 吊装跌落过程的图形化编程
2026年01月14日
17.3 吊装跌落过程的图形化编程
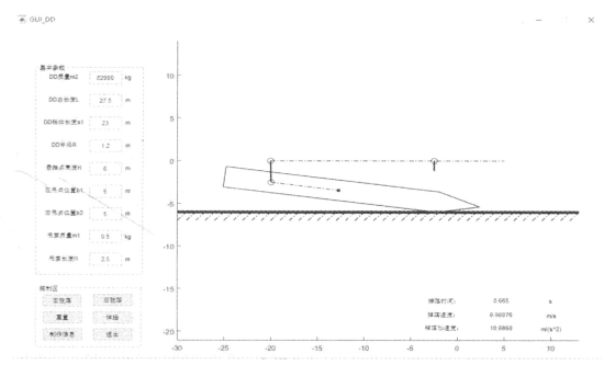
在图形化界面中,为使弹箭的跌落过程更加形象,在画布中绘制弹箭轮廓。首先,应用自定义函数function k=DD_fun(~,y,~,m1,m2,g,11,12,Jc),可求解获得不同时刻弹箭质心的位置参数;然后,利用质心和弹箭轮廓上各点的相对位置关系,绘制某一时刻的弹箭轮廓控制点,将各个轮廓控制点连接,即可形成该时刻吊索和弹箭轮廓。依此法可获得各个时刻吊索和弹箭轮廓的空间位置参数,从而实现吊装跌落过程的动态显示。

形成的图形化用户界面如图17-4所示。

图17-4 左侧跌落算例演示
运算结束后,可以输出弹箭的质心运动轨迹,如图17-5所示。

图17-5 左侧跌落算例计算得到质心运动轨迹
计算弹箭质心的速度与加速度曲线,有助于得到触地瞬间的速度与加速度等信息,如图17-6和图17-7所示。

图17-6 左侧跌落算例计算得到质心速度变化曲线
使用get命令可以得到可编辑文本框中用户输入的数值。
(https://www.daowen.com)

图17-7 左侧跌落算例计算得到质心加速度变化曲线
实现弹箭吊装意外跌落的求解程序主体内容如下。





思考题
(1)如果忽略吊索的质量,弹箭的运动规律将如何变化?
(2)尝试建模求解意外跌落导致弹箭撞击地面的冲击力,并分析哪些因素会影响坠撞冲击力的大小。
(3)如果双侧吊索先后脱落,如何建模并分析弹箭的运动规律?