习 题
一、选择题
1.一块铜板放在磁感应强度正在增大的磁场中时,铜板中出现涡流(感应电流),则涡流将( )。
A.加速铜板中磁场的增加 B.减缓铜板中磁场的增加
C.对磁场不起作用 D.使铜板中磁场反向
2.一无限长直导体薄板宽度为l,板面与z轴垂直,板的长度方向沿y轴,板的两侧与一个伏特计相接,如习题图8.1所示。整个系统放在磁感应强度为B的均匀磁场中,B的方向沿z轴正方向,如果伏特计与导体平板均以速度v向y轴正方向移动,则伏特计指示的电压值为( )。
A.0 B.
v Bl C.v Bl D.2v Bl
3.两根无限长平行直导线载有大小相等、方向相反的电流I,I以d I/d t的变化率增长,一矩形线圈位于导线平面内(如习题图8.2所示),则( )。
A.线圈中无感应电流 B.线圈中感应电流为顺时针方向
C.线圈中感应电流为逆时针方向 D.线圈中感应电流的方向不确定

习题图8.1

习题图8.2
4.在一通有电流I的无限长直导线所在平面内,有一半经为r、电阻为R的导线环,环中心距直导线为a,如习题图8.3所示,且a≫r。当直导线的电流被切断后,沿着导线环流过的电量约为( )。

5.如习题图8.4所示,直角三角形金属框架abc放在均匀磁场中,磁场B平行于ab边,bc的边长为l。当金属框架绕ab边以匀角速度ω转动时,abc回路中的感应电动势ε和a、c两点的电势差U ac为( )。


习题图8.3

习题图8.4
6.有两个长直密绕螺线管,长度及线圈匝数均相同,半径分别为r 1和r 2。管内充满均匀介质,其磁导率分别为μ1和μ2。设r 1∶r 2=1∶2,μ1∶μ2=2∶1,当将两只螺线管串联在电路中通电稳定后,其自感系数之比L 1∶L 2与磁能之比W m1∶W m2分别为( )。
A.L 1∶L 2=1∶1,W m1∶W m2=1∶1 B.L 1∶L 2=1∶2,W m1∶W m2=1∶1
C.L 1∶L 2=1∶2,W m1∶W m2=1∶2 D.L 1∶L 2=2∶1,W m1∶W m2=2∶1
7.面积为S和2S的两圆形线圈1、2如习题图8.5所示放置,通有相同的电流I,线圈1的电流所产生的通过线圈2的磁通量用φ21表示,线圈2的电流所产生的通过线圈1的磁通量用φ12表示,则φ21和φ12的大小关系应为( )。
A.φ21=2φ12 B.φ21=
φ12 C.φ21=φ12 D.φ21>φ12
8.如习题图8.6所示,一导体棒ab在均匀磁场中沿金属导轨向右做匀加速运动,磁场方向垂直导轨所在平面。若导轨电阻忽略不计,并设铁芯磁导率为常数,则达到稳定后在电容器的M极板上( )。
A.带有一定量的正电荷 B.带有一定量的负电荷
C.带有越来越多的正电荷 D.带有越来越多的负电荷

习题图8.5

习题图8.6
9.对位移电流,有下述四种说法,哪一种说法是正确的?( )。
A.位移电流是由变化的电场产生的
B.位移电流是由变化的磁场产生的
C.位移电流的热效应服从焦耳-楞次定律
D.位移电流的磁效应不服从安培环路定理
10.两根很长的平行直导线,其间距为a,与电源组成闭合回路,如习题图8.7所示。已知导线上的电流为I,在保持I不变的情况下,若将导线间距离增大,则空间的( )。
A.总磁能将增大 B.总磁能将减小
C.总磁能将保持不变 D.总磁能的变化不能确定
11.在圆柱形空间内有一磁感应强度为B的均匀磁场,如习题图8.8所示,B的大小以速率d B/d t变化,有一长度为l 0的金属棒先后放在磁场的两个不同位置,则金属棒在这两个位置1(ab)和2(a′b′)时感应电动势的大小关系为( )。
A.ε2=ε1≠0 B.ε2>ε1 C.ε2<ε1 D.ε2=ε1=0

习题图8.7

习题图8.8
二、填空题
1.将条形磁铁插入与冲击电流计串联的金属环中时,有q=2.0×10-5 C的电荷通过电流计,若连接电流计的电路总电阻R=25Ω,则穿过环的磁通的变化ΔΦ=________。
2.磁换能器常用来检测微小的振动。如习题图8.9所示,在振动杆的一端固接一个N匝的矩形线圈,线圈的一部分在匀强磁场B中,设杆的微小振动规律为:x=A cosωt,则线圈随杆振动时,线圈中的感应电动势为________。(https://www.daowen.com)
3.如习题图8.10所示,aOc为一折成∠形的金属导线(aO=cO=L),位于x Oy平面中;磁感应强度为B的匀强磁场垂直于x Oy平面。当aOc以速度v沿x轴正方向运动时,导线上a、c两点间的电势差U ac=________。当aOc以速度v沿y轴正方向运动时,导线上a、c两点中_________点电势高。

习题图8.9

习题图8.10
4.半径为L的均匀导体圆盘绕通过中心O的垂直轴转动,角速度为ω,盘面与均匀磁场B垂直,如习题图8.11所示。
(1)在图上标出Oa线段中动生电动势的方向。
(2)填写下列电势差的值(设ca段长度为d):
U a-U O=_________;
U a-U b=________;
U a-U c=_________。

习题图8.11
5.有两个线圈,自感系数分别为L 1和L 2,已知L 1=3 m H,L 2=5 m H,串联成一个线圈后测得自感系数L=11 m H,则两线圈的互感系数M=_________。
6.有两个长度相同、匝数相同、截面积不同的长直螺线管,通以相同大小的电流。现在将小螺线管完全放入大螺线管里(两者轴线重合),且使两者产生的磁场方向一致,则小螺线管内的磁能密度是原来的_________倍;若使两螺线管产生的磁场方向相反,则小螺线管中的磁能密度为________(忽略边缘效应)。
7.半径为R的无限长柱形导体上均匀流有电流I,该导体材料的相对磁导率μr=1,则在导体轴线上一点的磁场能量密度为________,在与导体轴线相距为r处(r<R)的磁场能量密度_________。
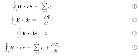
8.反映电磁场基本性质和规律的积分形式的麦克斯韦方程组为

试判断下列结论是包含或等效于哪一个麦克斯韦方程式的,将你确定的方程式的相应代号填在相对应结论的空白处。
(1)磁感应线是无头无尾的。_______________________________________________________
(2)电荷总伴随有电场。__________________________________________________________
(3)变化的磁场一定伴随有电流。
9.如习题图8.12所示,圆形平行板电容器从q=0开始充电,试画出充电过程中,极板间某点P电场强度的方向和磁场强度的方向。

习题图8.12
三、计算题
1.一导线弯成如习题图8.13所示形状,放在均匀磁场B中,B的方向垂直纸面向里。∠bc d=60°,bc=cd=a。现使导线绕轴OO′旋转,转速为每分钟n转,计算εOO′。
2.均匀磁场B被限制在半径R=10 cm的无限长圆柱空间内,方向垂直纸面向里,取一固定的等腰梯形回路abc d,梯形所在平面的法向与圆柱空间的轴平行,位置如习题图8.14所示。设磁场以d B/d t=1 T/s的匀速率增加,已知
,求等腰梯形回路中感生电动势的大小和方向。

习题图8.13

习题图8.14
3.如习题图8.15所示,无限长直导线,通以电流I。有一与之共面的直角三角形线圈ABC,已知AC边长为b,且与长直导线平行,BC边长为a。若线圈以垂直导线方向的速度v向右平移,当B点与长直导线的距离为d时,求线圈ABC内的感应电动势的大小和感应电动势的方向。
4.一宽度为l的薄铜片卷成一个半径为R的细圆筒,设l≫R,电流I均匀分布通过此铜片(如习题图8.16所示)。
(1)忽略边缘效应,求管内的磁感应强度B的大小;
(2)不考虑两个伸展部分,求这一螺线管的自感系数。

习题图8.15

习题图8.16
5.截面为矩形的螺绕环共N匝,尺寸如习题图8.17所示,图中下半部分两矩形表示螺绕环的截面,在螺绕环的轴线上另有一无限长直导线。
(1)求螺绕环的自感系数;
(2)求长直导线螺绕环间的互感系数;
(3)若在螺绕环内通一稳恒电流I,求螺绕环内储存的磁能。

习题图8.17
6.给电容为C的平行板电容器充电,电流为i=0.2×e-t(SI),t=0时电容器极板上无电荷。求:
(1)极板间电压U随时间t变化的关系;
(2)t时刻极板间总的位移电流I d(忽略边缘效应)。