10.4.2 能量按自由度均分定理
2026年01月14日
10.4.2 能量按自由度均分定理
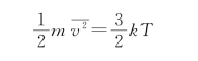
已知理想气体分子的平均平动动能为

又
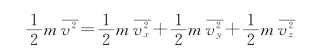
故分子平均平动动能为在平衡状态下,大量分子沿着各方向运动的机会是均等的,沿任一坐标轴的运动情况都应该相同。因此,相应于各个自由度,平均平动动能也相等,这样我们得到
![]()
(https://www.daowen.com)

各平动自由度的平均动能相等是大量气体分子间相互碰撞的结果。由于碰撞是无规则的,所以在碰撞过程中动能不仅可以在分子间进行交换,而且还可以从一个平动自由度转移到另一个平动自由度。由于在各个平均自由度中并没有哪一个具有特别的优势,因而平均来说,各平动自由度就具有相等的动能。

·对非刚性双原子分子(考虑振动),平均总能量为

能量均分定理是一个统计规律。对于单个分子来说,它在任一时刻的各种形式的动能及总动能都不一定是按能量均分定理所确定的平均值,甚至可能相差很大,而且每种形式的动能,也不一定按自由度均分,但对大量分子的整体来说,每个自由度的能量的统计平均值都等于
k T。所以,能量均分定理只能回答在某一温度下,对大量分子的整体来说,每个分子的平均能量是多少,不能回答某个分子在某时刻的能量到底是多少。