4.1.1 统计量的定义

4.1.1  统计量的定义

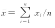
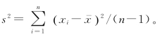
随机样本X1,X2,…,Xn的不含未知参数的函数f(X1,X2,…,Xn)称为统计量。对于正态总体,统计量通常是用来估计总体的期望和方差的,如分别在3.2.2节和3.3.2节中介绍过的样本均值图示和样本方差图示