4.1.3 基于一般正态分布的几个重要统计量的分布
2026年01月14日
4.1.3 基于一般正态分布的几个重要
统计量的分布
设X1,X2,…,Xn是正态总体N(μ,σ2)的一个随机样本,则样本均值函数和样本方差函数满足如下性质。
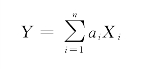
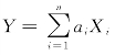
①性质1:

其中ai不全为0,则

由于样本彼此之间独立且和总体的分布一致,而正态分布的随机变量之和仍然服从正态分布,因此样本的线性函数
仍然服从正态分布,而正态分布随机变量Y 的数学期望和方差可以通过概率论里数学期望和方差的性质求得。
②性质2:(https://www.daowen.com)

这个结论是为了解决这样的问题:当总体服从正态分布时,样本均值也服从正态分布,甚至当总体是任意分布时,根据中心极限定理,在大样本的情况下,
也近似服从正态分布,因此可查正态分布表来确定
落在各个区间里的概率。
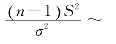
③性质3:

这个结论的用处是,通常都用S2来估计总体的方差σ2,而既然知道了![]()
就可以通过查χ2分布表,求σ2落在某些区域内的概率。
④性质4:

此结论的意义在于,当总体为正态总体N(μ,σ2)时,由于
这样我们希望在用公式
将其转换为标准正态分布后查标准正态分布表来求解概率问题,但在实际情况下,总体方差σ2经常是未知的,因此就可以利用这个定理,用样本方差S2来代替总体方差σ2,查t分布表来确定T 落在一些区域内的概率。
⑤性质5:

其中,
是容量为n 1 的总体X 的样本方差,
是容量为n2的总体Y 的样本方差。此结论的意义在于,当我们需要比较两个总体的方差时,此时无论是否已知两个总体的均值,都可以借助于这个定理计算样本方差、查F 分布表,从而确定上面的F 统计量落在一些区域内的概率。