11.1.1 辗转相除定义

11.1.1 辗转相除定义

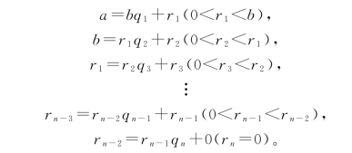
辗转相除讲的是两个整数a和b,a,b是正数,不妨假定a不小于b。

原始欧几里得辗转相除法以整除结束辗转相除。

以余数为零结束的辗转相除称为现代辗转相除法。(https://www.daowen.com)

定义如下:

图示

这里,余数为0的辗转相除法,记rn=0,n为除法总序数,k为一般除法序数。