3.1 固定资产的相关计算
1. 固定资产折旧
固定资产折旧是指在固定资产使用寿命内,按一定的方法对应计折旧额进行的分摊。
造成折旧的原因有两种,一种叫有形损耗,一种叫无形损耗。有形损耗就是自然的磨损,而无形损耗是由科技进步、顾客爱好的变化等带来的。
折旧的核算问题实际上就是固定资产的成本分配问题。这个问题的关键是在固定资产的使用年限内,每期摊多少,也就是把其价值在一个会计期摊多少作为费用,计入成本,也就是折旧额。
(1)计提折旧三要素。
计算每期折旧费用,主要应该考虑以下三个要素,如图3-1所示。

图3-1 记账前的准备工作
(2)固定资产计提折旧的范围。
企业在用的固定资产包括生产经营用固定资产、非生产经营用固定资产、租出固定资产等,一般均应计提折旧。但是,房屋和建筑物不管是否使用都要计提折旧。因此,需要计提折旧的固定资产具体范围包括:房屋和建筑物,在用的机器设备、仪器仪表、运输工具、工具器具,季节性停用、大修理停用的固定资产,融资租入和以经营租赁方式租出的固定资产。已达到预定可使用状态的固定资产,如果尚未办理竣工决算,应当按照估计价值暂估入账,并计提折旧。待办理了竣工决算手续后,再按照实际成本调整原来的暂估价值,同时调整原已计提的折旧额。当期计提的折旧额和对原折旧额的调整,均作为当期的成本、费用处理。
不计提折旧的固定资产包括:房屋、建筑物以外的未使用、不需用的固定资产,以经营租赁方式租入的固定资产,已提足折旧仍继续使用的固定资产,按规定单独估价作为固定资产入账的土地。
2. 固定资产折旧的计算
固定资产折旧的计算过程就是采用某种系统而合理的方法将固定资产的成本在其使用年限内摊销的过程。采用哪种摊销方法是其中的关键。
(1)直线法。
在解释直线法之前,我们要先讲一个概念——净残值。残值,我们已知道就是预计卖废品能卖多少钱。而净残值又是什么呢?比如说,一台机器报废了,为了废品多卖点钱我们先把它拆了,把能卖的摆一块儿,或者是把这台废机器弄得干净点儿,预计为这个花的工资等,就叫清理费用。用残值减去清理费用就叫净残值。要是清理费比卖废品的钱还多,那可就不划算了。
直线法又称年限平均法,是指将固定资产的应提折旧额均衡地分摊到固定资产预计使用寿命内的各个会计期间的一种方法。
直线法的计算公式如下:
年折旧额=(固定资产原值-预计净残值)÷预计使用年限
月折旧额=年折旧额÷12
【例】某公司一台生产用设备原值为30 000元,预计清理费为1 200元,而预计残值为3 000元,使用年限为4年。那么用直线法怎么计算折旧额呢?
年折旧额=[30 000-(3 000-1 200)]÷4
=(30 000-1 800)÷4
=7 050(元)
月折旧额=7 050÷12=587.5(元)
那计算出的折旧额又怎么记账呢?我们先要知道,折旧额是在“累计折旧”科目下核算,而累计折旧是作为固定资产的减项,也就是说,用固定资产的原值减去累计折旧,便是固定资产还剩多少没提折旧(也就是指固定资产净值)。会计上的核算是在每期计提折旧时,在“累计折旧”账户的贷方记账。
像上面的例子,计提的折旧应记入“制造费用”科目,因为那是生产用的,所以每期应做如下会计分录:

(2)工作量法。
工作量法是指根据固定资产在生产经营过程中实际完成的工作量计算固定资产折旧额的一种方法。其计算公式为:
单位作业量折旧额=(固定资产原值-预计净残值)÷预计总作业量
各期折旧额=单位作业量折旧额×各期实际作业量
【例】某电器厂购置一台专用机床,价值200 000元,预计总工作小时数为300 000小时,预计净残值为2 000元,购置的当年便工作了2 400小时,则有:
每小时折旧额=(200 000-2 000)÷300 000=0.66(元/小时)
当年的折旧额=2 400×0.66=1 584(元)
工作量法实际上也是直线法,它把产量与成本相联系,也就是把收入与费用相匹配。于是,年末计提折旧时的会计分录如下:

有些固定资产,例如计算机,新买来时创造的利润大,若用直线法,计提折旧就相对少。而到了后来,所创利润减少,而我们还这样计提折旧就显得相对多了。于是,就有了“加速折旧法”,即双倍余额递减法和年数总和法。
(3)双倍余额递减法。
双倍余额递减法是指在不考虑固定资产预计净残值的情况下,以固定资产年初账面净值作为折旧基数,以直线法的折旧率的双倍作为折旧率来计算折旧额的一种方法。
这种方法的计算公式如下:

使用双倍余额递减法要注意两点:
①这种方法使用初期不考虑固定资产的净残值。
②在固定资产折旧年限到期以前的两年,也就是使用期的最后两年,把其余还没提的那部分扣除净残值以后,平均分在两年内计入折旧。
【例】某公司进口一条生产线,安装完毕后,固定资产原值为200 000元,预计使用年限为5年,预计净残值8 000元。该生产线按双倍余额递减法计算各年的折旧额如下:
双倍余额折旧率
第一年应提折旧=200 000×40%=80 000(元)
第二年应提折旧=(200 000-80 000)×40%
=120 000×40%
=48 000(元)
第三年应提折旧=(120 000-48 000)×40%
=72 000×40%
=28 800(元)
第四年应提折旧=[(72 000-28 800)-8 000]÷2
=17 600(元)
第五年应提折旧=[(72 000-28 800)-8 000]÷2
=17 600(元)
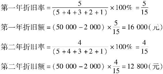
(4)年数总和法。
年数总和法是将固定资产的原价减去预计净残值后的余额采用逐年递减的折旧率来计算折旧额的方法。
这个关键的折旧率是怎么确定的呢?其计算公式如下:
年折旧率=尚可以使用年限÷预计使用年限的年数总和×100%
比如,一项固定资产可用6年,第一年时,还可用6年,于是:
年折旧率
第二年时,还可用5年,于是:
年折旧率
以后各年依次类推。
现在我们知道了年折旧率,那么月折旧率便是年折旧率除以12。那如何计算折旧额呢?
月折旧额=(固定资产原值-预计净残值)×月折旧率
【例】某公司一台小型机床的原值为50 000元,预计使用年限为5年,预计净残值为2 000元。则:

其余几年依次类推。