二、两个重要极限
【主要内容】
两个重要极限是
和lim x
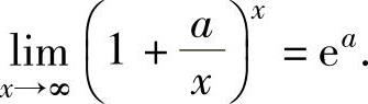
它们的推广形式是
和
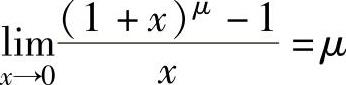
注 以下4个极限也是常用的,应与上面两个极限一起记住:
,
(μ为常数),
【典型例题】
例1.2.1 计算极限
精解 用重要极限
的推广形式计算.

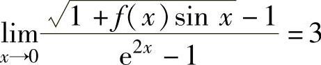
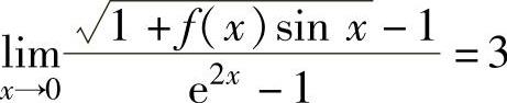
例1.2.2 已知
,求极限
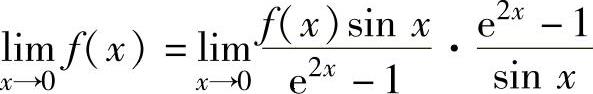
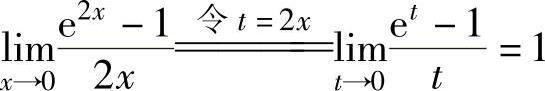
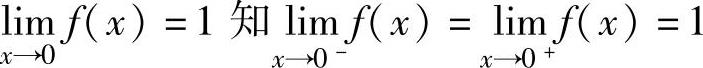
精解 由题设知
,即
,(https://www.daowen.com)
所以,
,(1)
其中
(题设),
,
,
将它们代入式(1)得

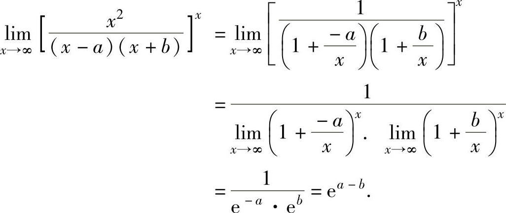
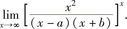
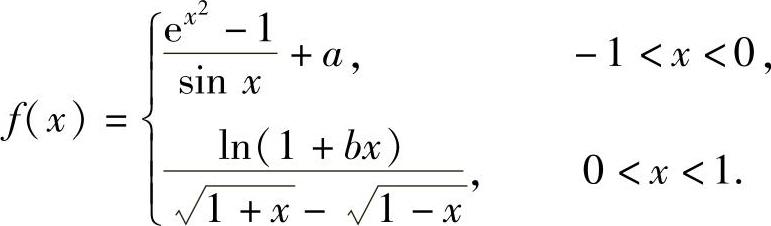
例1.2.3 求使得极限
的常数a和b,其中函数

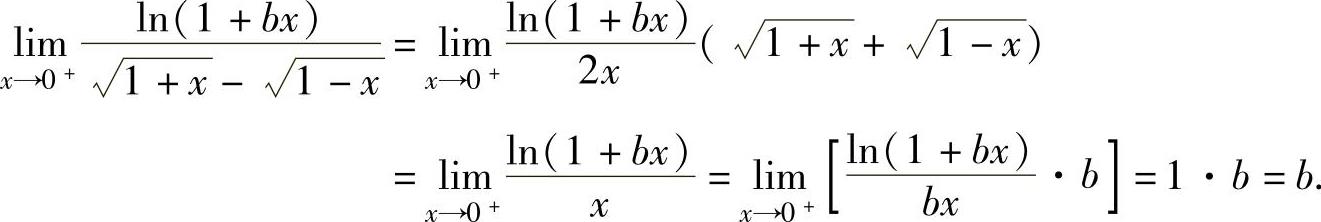
精解 由
,
即
,(1)
其中
,

将它们代入式(1)得a=b=1.