函数连续的定义
2026年01月14日
四
、函数连续的定义
【主要内容】
1.函数在点x0处连续的概念
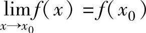
设函数f(x)在点x0的某个邻域内有定义,如果
,
则称f(x)在点x0处连续.
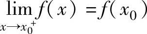
函数f(x)在点x0处连续的充分必要条件是f(x)在点x0既左连续(即
又右连续(即
),即
2.函数在开区间(a,b)内和闭区间[a,b]上连续的定义
如果函数f(x)在(a,b)的每一点处都连续,则称f(x)在(a,b)内连续.
如果函数f(x)在(a,b)内连续,且在点x=a处右连续,在点x=b处左连续,则称f(x)在[a,b]上连续.
注 初等函数在其定义域区间内或定义域区间上连续.
【典型例题】
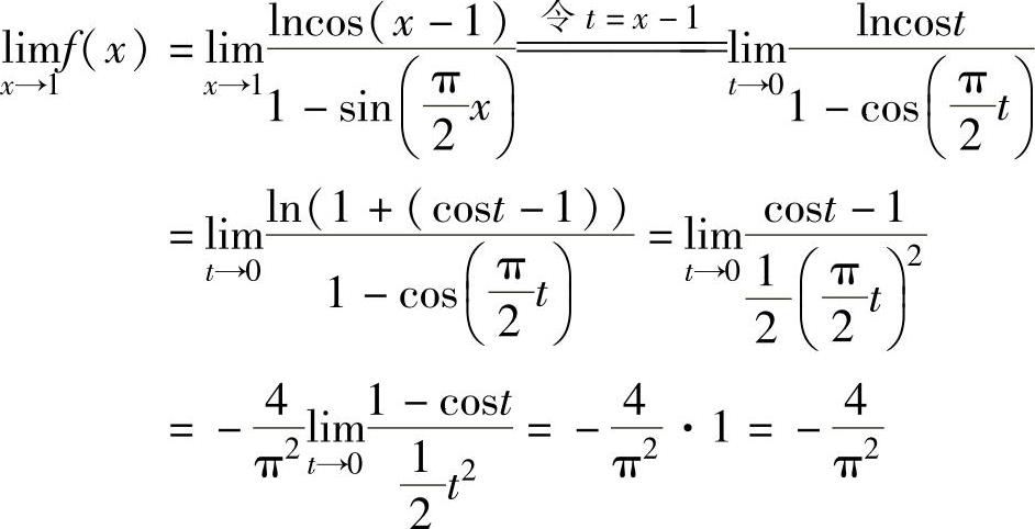
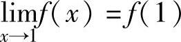
例1.4.1 设函数f
,问f(x)在点x=1处是否连续?,
精解 按定义只要检验
是否成立即可.
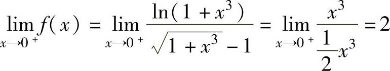
由
,(https://www.daowen.com)

知
,所以f(x)在点x=1处连续.
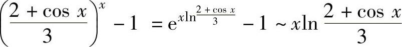
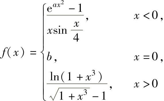
例1.4.2 设函数
在点x=0处连续,求常数a,b.
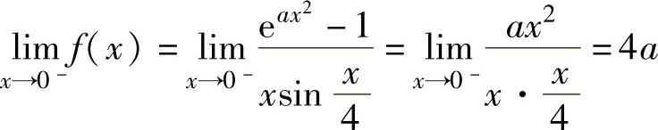
精解 根据f(x)在点x=0处连续的充分必要条件有
,(1)
其中,
,
,
f(0)=b.
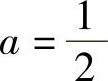
将它们代入式(1)得4a=2=b,即
,b=2.
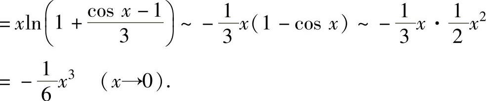
例1.4.3 设函数
,那么如何定义f(0)的值,使得f(x)在点x=0处连续.
精解 由函数在点x=0处连续的定义知,只要

即可.由于
,(1)
其中,
将它代入式(1)得

因此,定义
,使得f(x)在点x=0处连续.