五、函数的间断点
【主要内容】
1.函数间断点的定义
如果函数f(x)在点x0处不连续(即
不存在,或f(x)在点x0处无定义,或虽然
与f(x0)都存在,但它们不相等),则称x0是f(x)的间断点.
2.函数间断点分类
(1)第一类间断点
设x0是f(x)的间断点,如果
都存在,则称x0是f(x)的第一类间断
点.特别地,当
(即
存在)时,称x0是f(x)的可去间断点;当
时,称x0是f(x)的跳跃间断点.
(2)第二类间断点
设x0是f(x)的间断点,但不是第一类间断点,则称x0是f(x)的第二类间断点,特别
地,当
,或
,或
时,称x0是f(x)的无穷间断点,它
是常见的第二类间断点.
【典型例题】
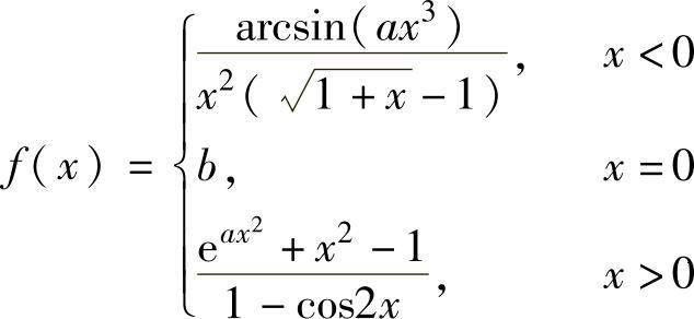
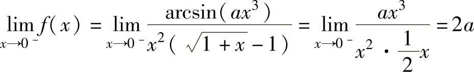
例1.5.1 设函数
,,问常数a,b为何值时,x=0是,
f(x)的可去间断点.
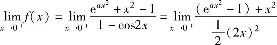
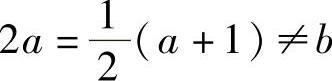
精解 根据可去间断点的定义有
其中,
,
,
f(0)=b.
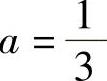
将它们代入式(1)得
,即
,
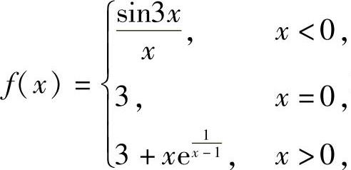
例1.5.2 设函数
求f(x)的间断点(需指明类型)与连续区间(https://www.daowen.com)
(即使f(x)连续的区间).
精解 当x<0时,
是连续的;当x>0时,
除点x=1外,处
处连续,所以f(x)的可能间断点为x=0,1.
由于
,
,
且f(0)=3,即
,所以x=0不是函数f(x)的间断点,而是连续
点.
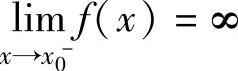
由于
,所以,x=1是f(x)的第二类间断点,且是无穷
间断点.
综上所述,f(x)有唯一的间断点x=1(第二类间断点,且是无穷间断点),连续区间为(-∞,1)和(1,+∞).
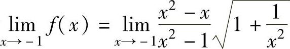
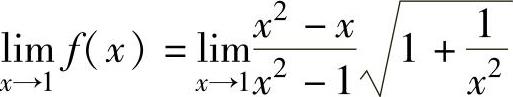
例1.5.3 求函数
的可去间断点的个数.
精解 由于
是初等函数,它的间断点为分母为零的点,即x=0,±1,
±2,….
由于
,
,
且由f(x)是偶函数可得
此外,对k=±2,±3,…,有
,
所以,f(x)仅有3个可去间断点,它们为x=0,-1,1.
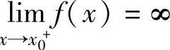
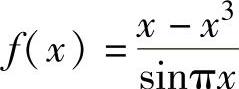
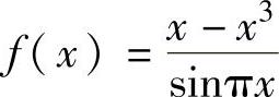
例1.5.4 求函数
的无穷间断点.
精解 f(x)有间断点x=-1,0,1.
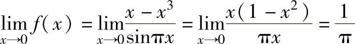
由于
,
不存在,但不为无穷大,
,
所以,f(x)只有一个无穷间断点,即x=-1.