5.2 开槽参数的求解
2026年01月14日
5.2 开槽参数的求解
当折叠圆桌未展开时,钢筋在PW,此处即为槽上端的轨迹线。
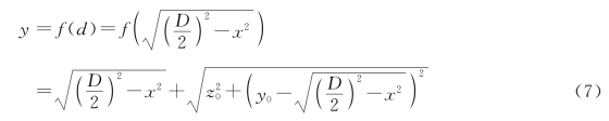
当折叠圆桌展成圆桌时,点W变为W',此时槽下端在PW'线上,令
f(d)=O'P+PW'
即
![]()
当重新变成平板时,可以得到第V象限槽下端的轨迹线为

折叠桌未展开时示意图如图5所示,其中阴影处G即为开槽的区域。

图5 折叠桌未展开时示意图
给定的木板长120cm,宽50cm,桌高53cm,钢筋位于桌腿最外侧木条的中心位置,桌腿宽度2.5cm,由于木板有3cm厚度,故净桌高为50cm。此时计算出每条桌腿的长度和桌腿的开槽长度即可设计出预定的折叠圆桌。
沿
方向将直径RR'均分成20份,记每份的中点的横坐标为xi(i=1,2,3,…,20);过点(xi,0)作y轴的平行线,交圆O于点(xi,yi),开槽设计图如图6所示。
易知
(https://www.daowen.com)
此处即为桌面与桌脚的铰接处。

图6 开槽设计图
则桌腿长
![]()
桌腿支撑桌面,故可知钢筋所在的直线为
![]()
由于离散后钢筋所在位置与理想时有偏差,需修正槽下端的曲线,如图6中,lideal为理想情况下的槽下端曲线,ladjust为离散后的槽下端曲线。记每条桌脚的轴线夹于直线ym和曲线ladjust之间的长度即开槽长为li,易知

故开槽长为

把参数分别代入式(9)、(12),可以得到所有的桌腿长和槽长,表1中给出了折叠桌一侧第1根到第20根的桌腿长度和开槽长度。
表1 桌腿参数
