导文网
搜索
首页>
图书频道>
理学>
数学物理化学
5.3 桌角边缘线方程求解
2026年01月14日
版权
5.3 桌角边缘线方程求解
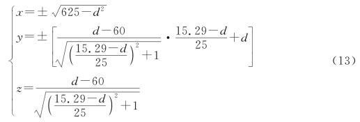
通过将桌高
代入式(4)得到将其代入桌脚动态变化参数方程得桌脚的曲线方程为(https://www.daowen.com)
其中,d为参数,d∈[0,25]。
上一章
下一章
目录