7.1 模型的建立

7.1 模型的建立

在前两问中桌面为圆形,其桌面边缘线满足关系式图示

本问中设客户给定的桌面边缘线满足

图示

桌脚边缘线在xOz面上的投影曲线满足

图示

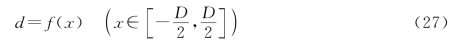
则将问题一中条件修改为

图示

得桌腿长度满足

图示

开槽长度满足

图示

将问题二中条件修改为(https://www.daowen.com)

图示

图示

代入化简,得

图示

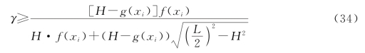
将问题二中条件修改为

图示

图示

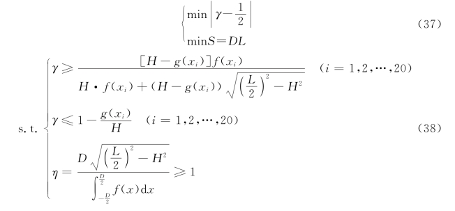
由此,结合问题二的最优加工参数计算模型,则可以得到任意设定的折叠桌高度、桌面边缘线形状大小和桌脚边缘线的大致形状的最优加工参数计算模型:

图示