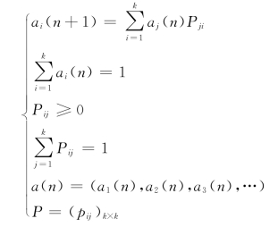
4.3 The establishment of the Markov chain model
Markov chain model is used to solve a system known now,in the future has nothing to do with the history of the later,time,state are discrete random transfer process and the human condition is in line with the above changes.As the actual number of patients on the demand for antibiotics is difficult to achieve statistical data,so this article reflects the patient's side by the prevalence of antibiotic demand.
Since the illness is a function of time,the time is discretized.For each discrete time,the state of a person is represented by a random variableχi.When χi=1,people are in need of the antibiotics.Whenχi=0,people aren't in need of the antibiotics.We can use ai(n)=P(χn=i)to represent the state probability.
The probability of transition from stateχi=0 to stateχi=1 is P 12=(χn+1=2|χn=1).To sum up,the Markov chain equation is as follows:

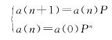
Then we get the probability of people getting sick at different time points:

Where P denotes the transition probability matrix.
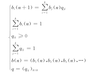
Similarly,the probability of bacterial resistance to antibiotics,q,we can establish the Markov chain:

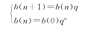
The probability of bacterial resistance to antibiotics at different time points is:

In this paper,we choose the extreme value method,which finds that the farmers at any time demand is equal to the threshold,the farmers demand function is as follows:(https://www.daowen.com)
![]()
To sum up the consumer demand chain in the interests of the same time as a function of the following:
![]()
Whereεrepresents the consumer demand.Then,we calculate the time-varying demand which is shown in the figure 5.

Figure 5 The time-varying demand
Due to market interests and product circulation has a lag,so we need to add a lag coefficientθof the time axis.The function of the crisis development trend in the fully competitive market is:

The antibiotic circulation was calculated as figure 6.

Figure 6 The antibiotic circulation
By comparing the trend of crisis with the demand of consumers,we can see that in a perfectly competitive market,there is no government function to control the circulation of antibiotics.Because of the self-regulation of market,the crisis develops in a period of time.A horizontal line swings up and down.With the prolongation of time and the abuse of antibiotics,the market's self-regulation is rapidly broken,the crisis is rising rapidly,which seriously endangers the survival of human society.Therefore,the abuse of antibiotics should be regulated and contained.