6.1.4 用简化阶梯形矩阵解线性方程组
在6.1.2中,我们学习了线性方程组的初等变换,下面来学习矩阵的初等行变换,它与线性方程组的初等变换相类似.
定义1
下面的三种变换统称称为矩阵的初等行变换:
(1)对调两行(对调i,j两行,记作ri↔rj);
(2)用数k≠0乘以某一行中的所有元素(k乘第i行,记作kri);
(3)把某一行所有元素的k倍加到另一行对应元素上(第i行的k倍加到第j行上,记作kri+rj),第i行不变,第j行改变.
定理
任意矩阵都可以经过有限次的初等行变换化为简化阶梯形矩阵.
求矩阵A的简化阶梯形矩阵的步骤为:
(1)用矩阵的初等行变换把A化为阶梯形矩阵B;
(2)用矩阵的初等行变换把阶梯形矩阵B中非零行的第一个非零元素全部化为1(主元),得到阶梯形矩阵C;
(3)用矩阵的初等行变换,从下往上,依次把阶梯形矩阵C中主元所在列的其他元素都化为零,得到简化阶梯形矩阵 D.
例1 把矩阵
化为简化阶梯形矩阵.
解 


用MATLAB软件求
的简化阶梯形矩阵程序如下:
在MATLAB的Command Window窗口输入

注意 矩阵的初等行变换每一步都要用箭头“→”标出,而不是等号.
线性方程组可以用增广矩阵表示,对增广矩阵进行初等行变换化为简化阶梯形矩阵,简化阶梯形矩阵又可以返回到方程组的形式.下面我们用简化阶梯形矩阵解线性方程组.
用简化阶梯形矩阵解线性方程组的步骤是:
(1)写出线性方程组的增广矩阵B;
(2)求出增广矩阵B的简化阶梯形矩阵;
(3)写出简化阶梯形矩阵对应的线性方程组.
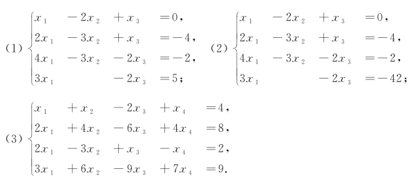
例2 用简化阶梯形矩阵解下列线性方程组.
(https://www.daowen.com)
解
(1)设线性方程组的增广矩阵为B

增广矩阵的简化阶梯形矩阵对应的线性方程组为
显然,第四个方程0=1是不成立的.所以,该方程组无解.
(2)设线性方程组的增广矩阵为B

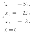
增广矩阵的简化阶梯形矩阵对应的线性方程组的解为
显然,该方程组的解是唯一的.
(3)设线性方程组的增广矩阵为B


增广矩阵的简化阶梯形矩阵对应的线性方程组为

所以方程组有无穷多解,x3为自由变量.
例2中用MATLAB软件求增广矩阵B的简化阶梯形矩阵,更为简便.程序为

例2可以看出,将方程组转化成增广矩阵,用初等行变换,把增广矩阵化为简化阶梯形矩阵,从而达到解线性方程组的目的.这实际上与线性方程组的加减消元法是一致的.对增广矩阵施以初等行变换,相当于把原方程组变化成一个新的同解方程组.区别是,用矩阵解线性方程组,在书写上省去了未知数,只有未知数的系数和常数项参与运算过程.使用MATLAB软件求线性方程组增广矩阵的简化阶梯形矩阵,会使线性方程组的求解更为简便.
课后提升
1.求下列矩阵的简化阶梯形矩阵.

2.用简化阶梯形矩阵求下列方程.

答案
