6.1.5 用矩阵的秩判断线性方程组解的情况
在这节内容中,我们来完成用矩阵的秩判断线性方程组是否有解,有解时,其解是无穷多组还是只有一组的问题,获得线性方程组的通解.
定理1
矩阵的阶梯形不是唯一的,矩阵的阶梯形的非零行的个数是唯一的.
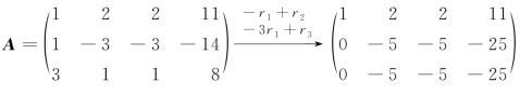
如对于矩阵
.
.由上可知,矩阵
和
都是矩阵A的阶梯形,而且阶梯形的非零行的行数都是2.
一般地,一个矩阵的阶梯形虽然有不同的表现形式,但是这些阶梯形都有相同的非零行的行数.为此,给出下面的定义.
定义1 矩阵A的阶梯形的非零行的行数称为矩阵A的秩,记作r(A).
特殊地,零矩阵没有非零行,所以零矩阵的秩等于零;反之,秩等于零的矩阵也一定是零矩阵.
定理2 如果矩阵A是一个m×n矩阵,那么r(A)≤min(m,n).
对于上面的矩阵A,则r(A)=2
求矩阵的方法是,对矩阵实施一系列的初等行变换化成为阶梯形矩阵,就明显地看出矩阵的秩.
例1 求矩阵的秩.
解 
.
所以,r(A)=2.
在MATLAB的Command Window窗口输入

例2 求矩阵
的秩.
解

所以,r(A)=1.
在MATLAB的Command Window窗口输入

现在,我们从矩阵的秩的角度来观察,6.1.4用简化阶梯形矩阵解线性方程组中,例2中三个线性方程组解的情况、增广矩阵的秩、系数矩阵的秩和未知数的个数之间有怎样的关系.
线性方程组(1)无解.它的增广矩阵
,其阶梯形矩阵为
增广矩阵B的前三列元素组成线性方程组的系数矩阵A.显然,r(A)=3,r(B)=4,r(A)<r(B),未知数的个数为3.此时,线性方程组无解.
线性方程组(2)有唯一的解,它的增广矩阵
,其阶梯形矩阵为
.
增广矩阵B的前三列元素组成线性方程组的系数矩阵A.显然,r(A)=3,r(B)=3,r(A)=r(B),未知数的个数为3.此时,线性方程组有唯一解.
线性方程组(3)有无穷多解,它的增广矩阵
,其阶梯形矩阵为
.
增广矩阵B的前三列元素组成线性方程组的系数矩阵A.显然,r(A)=3,r(B)=3,r(A)=r(B),未知数的个数为4,此时,线性方程组有无穷多解.
我们将以上观察到的情况推广到n元线性方程组式(6.1.2)的情形.

的增广矩阵

通过矩阵的初等行变换化为如下形式的阶梯形矩阵

(1)当dr+1=0时,线性方程组有解(如6.1.4例2(2),(3)),此时,r(A)=r(B);
(2)当dr+1≠0时,线性方程组无解(如6.1.4例2(1)),此时r(A)<r(B).
定理3(https://www.daowen.com)
线性方程组
有解的充分必要条件是它的系数矩阵的秩和增广矩阵的秩相等,即r(A)=r(B).
定理4
如果线性方程组
满足r(A)=r(B)=r,则当r=n时,线性方程组有解且只有唯一解;当r<n时,线性方程组有无穷多解.
定理3和定理4统称为线性方程组解的判定定理.定理3回答线性方程组是否有解的问题,定理4回答线性方程组在有解的情况下,解是否唯一的问题,而如何求解有多种方法,其中加减消元法和用增广矩阵的简化阶梯形矩阵解线性方程组就是其中的两种方法.在后续内容中,我们将学习其他更为简便的方法来解线性方程组.
例3 根据下列线性方程组对应的增广矩阵,讨论方程组解的情况.其中*表示任意常数.

解
(1)r(A)=r(B)=3,未知数的个数是3,所以线性方程组有解,且只有唯一解;
(2)r(A)=2,r(B)=3,r(A)<r(B),所以线性方程组无解;
(3)r(A)=r(B)=2,未知数的个数是4,所以线性方程组有无穷多解.
定义2 对于线性方程组
若右端常数项全为零,则称为齐次线性方程组.它的系数矩阵A与增广矩阵B的秩总是相等的,即R(A)=R(B),所以齐次线性方程组总是有解的,并由定理3知道:
(1)当R(A)=n时,齐次方程组有唯一的一组零解(x1=0,x2=0,…,xn=0);
(2)当R(A)<n时,齐次线性方程组有无穷多组解,易知齐次线性方程组有非零解的充要条件是R(A)<n.
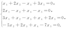
例4 求解齐次线性方程组
解


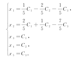
由于R(A)=2<n=5,故有非零解,原方程组同解方程组为:

令x3=c1,x4=c2,x5=c3
故得非零解:

例4中用MATLAB软件求增广矩阵B的秩和简化阶梯形矩阵,更为简便.程序为

由于R(A)=2<n=5,故有非零解,原方程组同解方程组为:

令x3=c1,x4=c2,x5=c3
故得非零解:

课后提升
1.求下列矩阵的秩.

2.下列矩阵是线性方程组对应增广矩阵的阶梯形矩阵,讨论方程组解的情况,当方程组有唯一解时,求出它的解.

3.解下列方程组.

答案
1.(1)3;(2)3;(3)3;(4)2.
2.(1)无解;(2)有唯一解;(3)有无穷多解;(4)有唯一解.
3.(1)
(2)