6.2.3 用行列式解线性方程组
我们知道二元一次线性方程组的解可以用二阶行列式表示.那么n元线性方程组的解是否也可以用n阶行列式来表示呢?答案是肯定的.
定理(克拉默法则)
如果线性方程组
的系数行列式D=
,则方程组有唯一解

其中Dj(j=1,2,…,n)是把D中的第j列用方程组等号右端的常数项b1,b2,…,bn代替后得到的行列式.即

注意 应用克莱姆法则,解线性方程组应满足以下条件:
(1)线性方程组中,方程个数应等于未知量个数;
(2)线性方程组的系数行列式不为零.
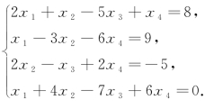
例 求解线性方程组
解

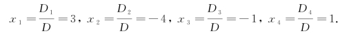
同理,可求得

故

课后提升
用行列式解下列线性方程组.


线性代数的起源发展史
答案
(1)
(2)
(3)