能力提升
1.行列式与矩阵相同吗?二者有何区别?
2.如何用行列式求解线性方程组?它与矩阵解线性方程组有何异同点?
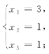
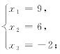
3.用行列式解下列线性方程组.

4.求下列行列式中k的值.

答案
1.行列式的行数和列数相等,行列式的最终结果是数值或代数式,矩阵的行数与列数不一定相等,矩阵是一种数表.
2.用行列式解线性方程组时,方程组的个数与未知数的个数相等;用简化阶梯形矩阵解方程组时,方程组的个数与未知数的个数相等;用逆矩阵解方程组时,方程组的个数与未知数的个数相等;
3.(1)
(2)
(3)
4.(1)2;(2)-3.