6.3.3 整数规划模型
6.3.3.1 整数规划模型
1.钢管下料问题
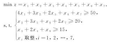
某钢管零售商从钢管厂进货,将钢管按照顾客的要求切割后售出,从钢管厂进货时得到的原料钢管都是19m.
(1)现在一客户需要50根4m、20根6m和15根8m的钢管.应如何下料最节省?
(2)零售商如果采用的不同切割模式太多,将会导致生产过程的复杂化,从而增加生产和管理成本,所以该零售商规定采用的不同切割模式不能超过3种.此外,该客户除需要(1)中的三种钢管外,还需要10根5m的钢管.应如何下料最节省.
问题(1)分析与模型建立:
首先分析1根19m的钢管切割为4m,6m,8m的钢管的模式,所有模式相当于求解不等式方程
4k1+6k2+8k3≤19
的整数解.但要求剩余材料
r=19-(4k1+6k2+8k3)<4.
容易得到所有模式见表6-20.
表6-20 钢管切割模式 单位:m

决策变量用xi表示按照第i种模式(i=1,2,…,7)切割的原料钢管的根数.以切割原料钢管的总根数最少为目标,则有
minz=x1+x2+x3+x4+x5+x6+x7.
约束条件
为满足客户的需求,4m长的钢管至少50根,有
4x1+3x2+2x3+x6+x7≥50.
6m长的钢管至少20根,有
x2+3x5+x6+2x7≥20.
8m长的钢管至少15根,有
x3+2x4+x6≥15.
因此模型为

解得
x1=0,x2=12,x3=0,x4=0,x5=0,x6=15,x7=0.
目标值z=27.
即12根钢管采用切割模式2:3根4m,1根6m,余料1m.
15根钢管采用切割模式6:1根4m,1根6m,1根8m,余料1m.
切割模式只采用了2种,余料为27m,使用钢管27根.
LINGO程序:

问题(2)模型建立
首先分析1根19m的钢管切割为4m,6m,8m,5m的钢管的模式,所有模式相当于求解不等式方程
4k1+6k2+8k3+5k4≤19
的整数解.但要求剩余材料
r=19-(4k1+6k2+8k3)<4.
利用MATLAB程序求出所有模式见表6-21.
表6-21 钢管切割模式 单位:m

(续表)

决策变量用xi表示按照第i种模式(i=1,2,…,16)切割的原料钢管的根数.
决策目标以切割原料钢管的总根数最少为目标,则有

设第i种切割模式下4m长的钢管ai根,6m长的钢管bi根,8m长的钢管ci根,5m长的钢管di根.则约束条件有:
为满足客户的需求,4m长的钢管至少50根,有

6m长的钢管至少20根,有

8m长的钢管至少15根,有

5m长的钢管至少10根,有

为实现最多使用3种切割模式

增设0~1变量yi,i=1,2,…,16.当yi=0时,xi=0,表示不使用第i种切割模式;当yi=1时,xi≥1,表示使用第i种切割模式.因此有:xi≥yi,xi≤Myi,i=1,2,…,16.其中M足够大,如这里取100.
因此模型为

当所用钢管z最少时,求得的解为
x2=8,x13=10,x15=10.
目标值z=28.
即8根钢管采用切割模式2:2根8m,余料3m.
10根钢管采用切割模式13:2根4m,1根6m,1根5m,余料为0.
10根钢管采用切割模式15:3根4m,1根6m,余料1m.
切割模式采用了3种,余料为34,使用钢管z=28根.
LINGO程序为:


6.3.3.2 0~1规划模型
1.篮球对选队员问题
篮球队要选择5名队员上场组成出场阵容参加比赛.8名篮球队员的身高及擅长位置见表6-22.
表6-22 篮球队员数据

出场阵容满足如下条件:
(1)只能有一名中锋上场;
(2)至少有一名后卫上场;
(3)如1号和4号均上场,则6号不出场;
(4)2号和8号至少有1个不出场;(https://www.daowen.com)
问应当选择哪5名队员上场,才能使出场队员平均身高最高.
分析与求解
这是一个0~1整数规划问题.
设0~1变量xi如下

设各队员的身高分别用常数ai(i=1,2,…,8)来表示,则目标函数很容易给出

问题较为复杂的是如何根据题目给出的条件给出线性约束条件,下面对每一个条件给出约束条件:
所选队员为5人,则
.
只能有一名中锋上场,则x1+x2=1,这样保证两名中锋恰好有一名上场.
至少有一名后卫,则x6+x7+x8≥1.
如1号和4号均上场,则6号不出场.则可用如下约束来表达:x1+x4+x6≤2.当x1=1,
x2=1时,则x6=0,满足条件;当x1=1,x2=0或x1=0,
x2=1,x6
可为0或1,也满足条件;当x1=0,
x2=0,
x6可为0或1,满足条件.因此用该约束条件完全可代表该条件.
2号和8号至少有1个不出场,即2号和8号至多出场1个.用约束条件来表达就是:x2+x8≤1.
因此对该问题建立的数学模型如下

用LINGO编程如下:


所得到的解为:
x(1)=0,x(2)=1,x(3)=1,x(4)=1,x(5)=1,x(6)=1,x(7)=0,x(8)=0
即第2,3,4,5,6名队员被选上.
最大平均身高为Z=1.864m.
2.完成任务问题
有五项设计任务可供选择.各项设计任务的预期完成时间分别为3,8,5,4,10(周)设计报酬分别为7,17,11,9,21(万元).设计任务只能一项一项地进行,总的期限为20周.选择任务时必须满足下面要求:
至少完成3项设计任务.若选择任务1,必须同时选择任务2.任务3和任务4不能同时选择.
应当选择哪些任务,才能使总的设计报酬最大?
分析与求解
这是一个0~1整数规划问题.
设0~1变量xi如下

设各项设计任务的完成时间为ti(i=1,2,…,5)表示,设计报酬为mi(i=1,2,…,5)表示.则容易得到目标函数

根据题目要求分别列出约束条件如下:
总期限为避免20周,则约束条件为

至少完成3项设计任务,则

若选择任务1,必须同时选择任务2,则x2≥x1.
任务3和任务4不能同时选择,则x3+x4≤1,该约束表达式表明任务3和任务4至多只能选择1个.
因此对该问题建立的数学模型如下

LINGO程序如下:

即在满足各种约束条件下,选择设计任务1,2,3,可使总报酬达到最大为35万元.
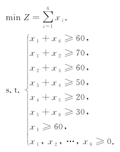
3.公交司机排班问题
某昼夜服务的公交路线每天各时间区段内需司机和乘务人员见表6-23.
设司机和乘务人员分别在各时间区段一开始上班,并连续工作8h,问该公交线路至少配备多少名司机和乘务人员?从第一班开始排,试建立线性模型.
表6-23 公交运行需求

模型分析与求解
注意 在每一时间段里上班的司机和乘务人员中,既包括在该时间段内开始时报到的人员,还包括在上一时间段工作的人员.因为每一时间段只有4h,而每个司乘人员却要连续工作8h.因此每班的人员应理解为该班次相应时间段开始时报到的人员.
设xi为第i班应报到的人员(i=1,2,…,6),则应配备人员总数为

按所需人数最少的要求,可得到线性模型如下

LINGO程序如下:


得到的解为:
![]()
配备的司机和乘务人员最少为150人.
课后提升
1.某校学生会准备在学生中选拔文体部、宣传部、劳动部、学习部四个部门的部长,经过层层筛选,最后剩甲、乙、丙、丁四名候选人,根据各项考核与民主测评,把四人主持各部的工作能力(量化为分值)列表见表6-24,试综合考虑四名候选人的情况,确定四个部长的最优选择方案.

线性规划发展简史
表6-24 候选人能力量化

2.某班准备从5名游泳队员中选择4人组成接力队,参加学校的4×100m混合泳接力比赛.5名队员4种泳姿的百米成绩见表6-25.问:应该如何选拔队员组成接力队?
表6-25 游泳队员数据

答案
1.甲劳动部部长,乙文体部部长,丙宣传部部长,丁学习部部长.
2.甲参加自由泳,乙参加蝶泳,丙参加仰泳,丁参加蛙泳.