能力提升

能力提升

1.选择题

(1)若F(x),G(x)都是f(x)的原函数,C为任意常数,则下式成立的是( ).

图示

(2)图示是( )的一个原函数.

图示

(3)若图示,则图示=( ).

图示

(4)设函数f(x)=x,则图示=( ).(https://www.daowen.com)

图示

(5)已知图示,则g(x)=( ).

图示

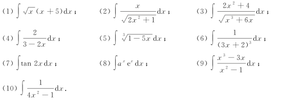
2.求下列不定积分.

图示

3.一质点作直线远动,已知其速度为v=sinωt,且s|t=0=s0.求时间为t时物体和原点间的距离.

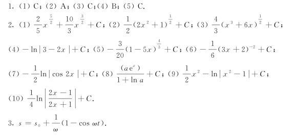
答案

图示