7.1.2 不定积分的计算
利用积分的基本公式和积分法则所能计算的不定积分是非常有限的.因此,有必要进一步研究不定积分的求法.本节我们将介绍换元积分法,分部积分,MATLAB计算积分.
换元积分法简称换元法.换元法的基本思路是:利用变量替换,使得被积表达式变形为基本公式表中的积分形式,进而计算不定积分.换元法有两类:第一类换元法;第二类换元法.
换元积分法解决了许多函数的不定积分问题,但是,还有一部分函数如:
等的不定积分,不能用换元法解决.因此,有必要介绍求积分的另一种方法分部积分法.
对于一些复杂积分计算问题,用MATLAB积分进行计算.
7.1.2.1 换元积分法
1.第一类换元法(凑微分法)
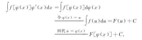
定理 设
,若u=φ(x)连续可导,则有
![]()
从这个定理我们看到:如果要求的积分能写成

的形式,则令φ(x)=u后,求出
,再代入u=φ(x)就行了.即

通常把这样的积分方法叫做第一类换元法.
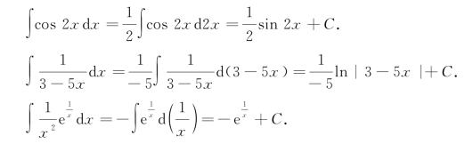
例1 求
.
解 设u=2x,则du=2dx.根据公式(7.1.2),有

MATLAB代码为:

例2 求
.
解 设u=3-5x,则du=-5dx.根据公式(7.1.2),有

MATLAB代码为:

例3 求
.
解 设
,则
.根据公式(7.1.2),有

方法熟练之后,可以不用写出换元过程,使计算简便.
MATLAB代码为:

如例1,例2,例3可直接写成:

从上面的例子可以看出,求积分时经常用到微分性质.
(1)d[aφ(x)]=adφ(x);(2)dφ(x)=d[φ(x)±b].
用第一类换元法计算积分时,关键是把被积表达式凑成两部分,使其中一部分为dφ(x),另一部分为φ(x)的函数f[φ(x)].因此,第一类换元法又称为凑微分法.
例4 求
.
解
.
2.第二类换元法
在第一类换元法中,选择新变量u,令u=φ(x)进行了换元.但对一些无理函数的积分,如
等就需要用第二类换元法.
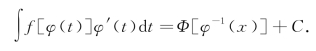
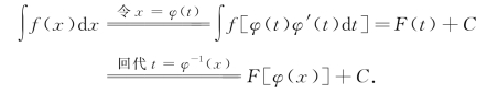
定理 设f(x)连续,x=φ(t)及φ′(t)均连续,x=φ(t)的反函数x=φ′(t)存在,如果Φ(t)是f[φ(t)]φ′(t)的一个原函数,即
![]()
则

从这个定理我们看到:若
不容易计算,可作适当变量代换x=φ(t),把原积分化为易积分的形式
.求出原函数后,将t=φ-1(x)回代.即

通常把这样的积分方法叫做第二类换元法.
第二类换元法的关键是选择合适的换元x=φ(t).下面用具体例子说明.
例1 求
.
解 令
,则x=t2+1 (t>0).于是dx=2tdt,所以

MATLAB代码为:

按Enter得到结果为ans=2*(x-1)^(1/2)-2*atan((x-1)^(1/2)).
7.1.2.2 分部积分法

分部积分法
换元积分法解决了许多函数的不定积分问题,但是,还有一部分函数如:
等的不定积分,不能用换元法解决.因此,有必要介绍求积分的另一种方法分部积分法.
设函数u=u(x)及v=v(x)具有连续导数.那么,两个函数乘积的导数为
(uv)′=u′v+uv′,
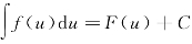
移项得由不定积分法则与不定积分定义,得
uv′=(uv)′-u′v.

或
![]()
式(7.1.3)或式(7.1.4)称为分部积分公式.
注意 分部积分公式的作用在于,如果右边的积分比左边的积分容易求得,那么这个公式就起到了化繁为减的作用.
通过下面的例子来具体说明,如何运用分部积分公式.
例1 求
.
解 设u=x,dv=cosxdx=d(sinx).则
du=dx,v=sinx.
由分部积分公式得(https://www.daowen.com)

MATLAB代码为:

按Enter得到结果为ans=cos(x)+x*sin(x).
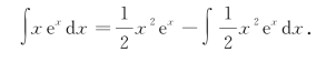
例2 求
.
解 设u=x,dv=exdx=d(ex).则
du=dx,v=ex.
由分部积分公式得

MATLAB代码为:

按Enter得到结果为ans=exp(x)*(x-1).
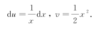
在例2中,如果设
.则

由分部积分公式得

很显然,右边的积分比左边的积分更不容易求出.由此可见,恰当的选取u和dv是应用分部积分法的关键.选取u和dv要注意以下两点:
(1)v要容易求得;
(2)
要比
容易积出.
一般的,形如下列函数
xklnx,xksinax,xkcosbx,xkeax,
xkarcsinax,xkarctanax
等等的不定积分,就要用分部积分法解决.
例3 求
.
解 设u=arcsinx,dv=dx.则

由分部积分公式得

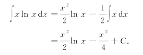
例4 求
.
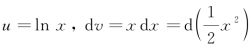
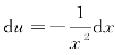
解 设
.则
由分部积分公式得


MATLAB代码为:

按Enter得到结果为ans=(x^2*(log(x)-1/2))/2.
分部积分法的方法熟练后,可简化步骤.
7.1.2.3 MATLAB积分方法
手机下载MATLAB Mobile,并创建自己的MathworksClound,就可以使用了.
MATLAB中主要用int进行符号积分.
int(s,
v):对符号表达式s中指定的符号变量v计算不定积分.表达式R只是表达式函数s的一个原函数,后面没有带任意常数 C.
int(s):对符号表达式s中确定的符号变量计算不定积分.
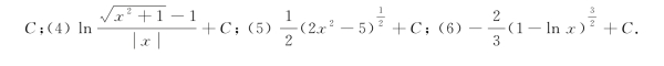
例1 用符号积分命令int计算不定积分
.
MATLAB代码为:

按Enter得到结果为ans=(2*exp(3*x^(1/2)))/3.
所以
.
其中,clear指令为清除内存变量,分号“;”表示语句结束,隐藏运算结果symsx为定义符号变量x.
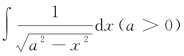
例2 求
.
解 MATLAB代码为:

按Enter得到结果为ans=asin(x/a).
所以
.
例3 求
.
解 MATLAB代码为:

按Enter得到结果为ans=log(sin(x)).
所以
.
课后提升
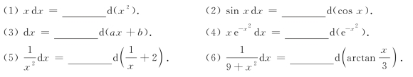
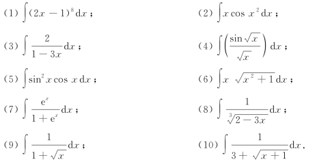
1.填空

2.求下列不定积分.

3.求下列不定积分.

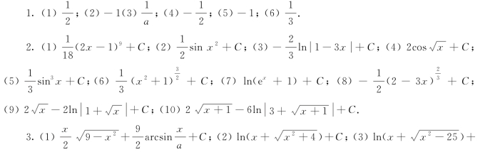
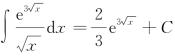
答案

