7.2.2 牛顿-莱布尼茨公式
定积分的定义已经给出了定积分的计算方法.即通过“分割”、“近似代替”、“求和”、“取极限”的步骤,求出函数f(x)的定积分.但是这种方法计算复杂,一般来说,实际意义不大.我们试图寻找一种简便、实用、有效的计算方法.
7.2.2.1 变上限函数(也叫积分上限函数)
设函数f(x)在区间[a,b]上连续,对任意t∈[a,b],定积分

表示曲边梯形的面积.若x是区间[a,
b]上任意一点,定积分

表示f(x)在部分区间[a,x]上曲边梯形的面积(图7-16).当x在区间[a,b]上变化时,阴影部分的曲边梯形面积也跟着在变化,所以,变上限定积分
![]()
是上限变量x的函数.
显然,对任意x∈[a,b],都对应唯一一个定积分
(数).根据函数定义,它是定义在区间[a,b]上的函数,表示为Φ(x),即


图7-16
定义 若函数f(x)在区间[a,b]上连续,那么在区间[a,b]上任取一点x,就有一个确定的定积分
的值与之对应,把这个新的函数,称为变上限函数,记作Φ(x),即
![]()
类似的,还可定义变下限函数:

这里,变上限函数与变下限函数通称为变限函数.这里,我们主要介绍变上限函数的有关知识.
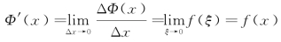
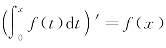
定理1 若函数f(x)在区间[a,b]上连续,那么变上限函数
在区间[a,b]上可导,且Φ′(x)=f(x).
证明 只须说明,对任意x∈[a,b],有
即可.
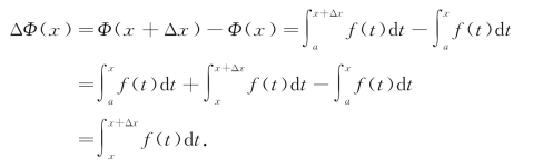
设x有改变量Δx,使x+Δx∈[a,b],有

根据积分中值定理得,在x与x+Δx之间至少存在一点ξ,使

成立(图7-17).
已知函数f(x)在区间[a,b]上连续,当Δx→0时,有ξ→x,f(ξ)→f(x)所以,
,
即
Φ′(x)=f(x).
这个定理告诉我们:若函数f(x)在区间[a,b]上连续,那么变上限函数
是f(x)的一个原函数,肯定了连续函数的原函数是存在的.

图7-17
定理2(原函数存在定理)如果函数f(x)在区间[a,b]上连续,那么变上限函数
就是f(x)在该区间上的一个原函数.
例1 已知
,求Φ′(x).
解 由定理1可知,
.
例2 已知
,求Φ′(x).
解 由定理1可知,
.
例3 已知
,求Φ′(x).
解 上限x2是x的函数,所以变上限定积分是x的复合函数,由复合函数求导法则,得

通过以上讨论有:
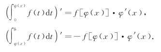
(1)如果函数f(x)在区间[a,b]连续,则有
.
(2)如果函数f(x)在区间[a,b]上连续,φ(x)可导,则有

7.2.2.2 牛顿-莱布尼茨公式
定理3 若函数f(x)在区间[a,b]连续,且F(x)是f(x)的原函数,则
![]()
证明 已知F(x)是f(x)的原函数,即对任意x∈[a,b],有(https://www.daowen.com)
F′(x)=f(x).
根据定理1,积分上限函数
也是f(x)的原函数,于是
F(x)-Φ(x)=C (a≤x≤b),
即
Φ(x)=F(x)- C.
当x=a时,上式为Φ(a)=F(a)-C而
,所以,F(a)=C从而
Φ(x)=F(x)-F(a),即
![]()
当x=b时,有
将积分变量换成x,有
![]()
式(7.2.2)称为牛顿-莱布尼茨公式.它是积分学中的基本公式.这个公式揭示了定积分与不定积分之间的关系:定积分的值等于被积函数的任一原函数在积分区间上的增量.有了微积分基本公式,计算连续函数的定积分问题就转化为求被积函数的原函数,使计算变得更简单了.为了使用方便,还可以将公式写成下面的形式:
![]()
或
![]()
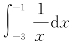
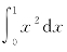
例1 计算
.
解 
MATLAB代码为:

按Enter得到结果为ans=1/3.
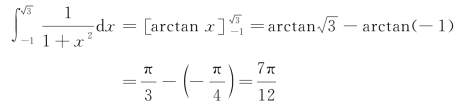
例2 计算
.
解

MATLAB代码为:

按Enter得到结果为ans=(7*pi)/12.
例3 计算
.
解
.
MATLAB代码为:

按Enter得到结果为ans=-log(3).
课后提升
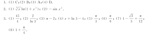
1.选择题
(1)变上限积分
是( ).
A.f′(x)的一个原函数 B.f′(x)的全体原函数
C.f(x)的一个原函数 D.f(x)的全体原函数
(2)设a为常数,且
,则a=( ).
A.1 B.2 C.-1 D.-2
(3)设
则
=( ).
A.1 B.-1 C.0 D.22
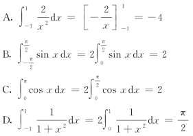
(4)下列各积分中,计算正确的是( ).

2.求下列函数的导数.
![]()
3.计算下列定积分.

答案
