14.1  常用分布

14.1 常用分布

(1)正态分布

Nμσ2)是以μσ2为参数的正态分布,当XNμσ2)时,EX=μDX=σ2.

(2)χ2分布

X1X2,…,Xn是相互独立且都服从N(0,1)的随机变量,则

Y=X21+X22+…+X2nχ2n)(即自由度为nχ2分布),并且EY=nDY=2n.

(3)t分布

设随机变量XN(0,t),Yχ2n),且XY相互独立,则978-7-111-46013-8-Part03-489.jpg(即自由度为nt分布).

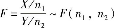
(4)F分布

设随机变量Xχ2n1),Yχ2n2),且XY相互独立,则978-7-111-46013-8-Part03-490.jpg(即自由度为n1n2F分布).