14.2 常用样本统计量分布的计算
(1)一个正态总体情形
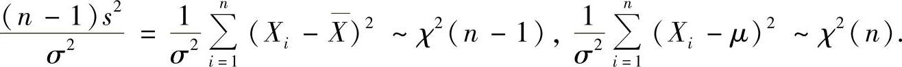
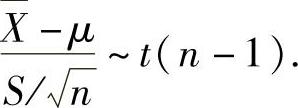
设简单随机样本X1,X2,…,Xn来自正态总体X~N(μ,σ2).记
(样本均值),
(样本方差),则
,即


(2)两个正态总体情形
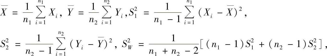
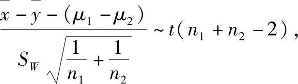
设简单随机样本X1,X2,…,Xn1与Y1,Y2,…,Yn2分别来自相互独立正态总体x~N(μ1,σ21)和N(μ2,σ22),记

则 

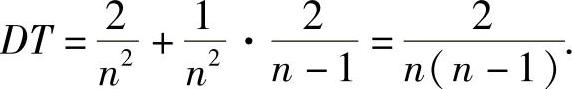
例14.1 设X1,X2,X3,X4是来自总体x~N(0,22)的简单随机样本,并且统计量U=a(X1-2X2)2+b(3X3-4X4)2~χ2(n)(a>0,b>0),求常数a,b及自由度n之值.
精解 由于U只有两个平方项,所以n=2,下面计算a,b之值.
按χ2分布的定义,要使U~χ2(2),必须
,
于是,
由
得
由
得
(https://www.daowen.com)
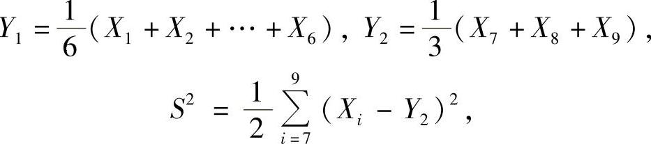
例14.2 设X1,X2,…,X9是来自总体N(μ,σ2)的简单随机样本,记

求统计量
所服从的分布.
精解 由于
所以 
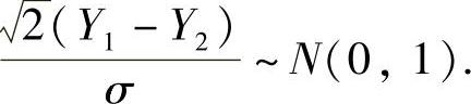
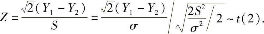
由于S2是样本X7,X8,X9的方差,所以
.此外,
与
相互独立(这是由于Y1、Y2都与S2相互独立).
因此,由t分布定义得
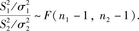
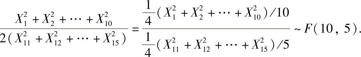
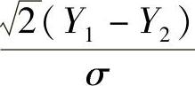
例14.3 设X1,X2,…,X15是来自总体(0,22)的简单随机样本,求统计量
所服从的分布.
精解 由于
,
,所以由F分布定义得

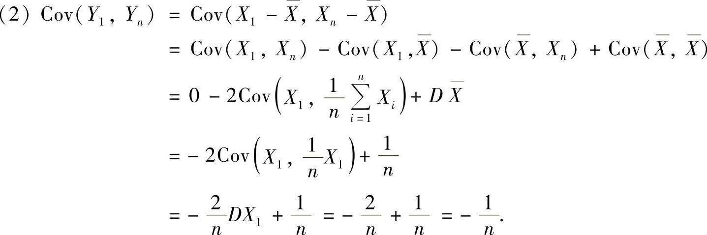
例14.4 设X1,X2,…,Xn(n>2)是来自总体x~N(0,1)的简单随机样本,记
求:
(1)统计量Y1所服从的分布;
(2)统计量Y1与Yn的协方差Cov(Y1,Yn).
精解 (1)由于X1,X2,…,Xn相互独立,且都服从N(0,1),所以

服从正态分布.
由于
因此,

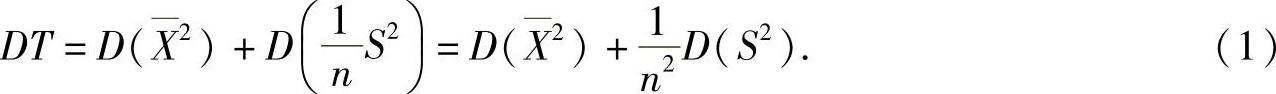
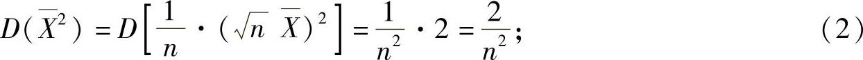
例14.5 设X1,X2,…,Xn是总体N(0,1)的简单随机样本,记
(其中
,
2),求统计量T的方差.
精解 由
与S2相互独立知
与
相互独立,所以

其中,由
知
,从而有
,因此

由(n-1)S2~χ2(n-1)知

将式(2)、式(3)代入式(1)得
