点估计量的计算
设X1,X2,…,Xn是来自总体X的简单随机样本,θ是总体的未知参数.
(1)θ的矩估计量的计算方法
θ的矩估计量通常按以下方法计算:
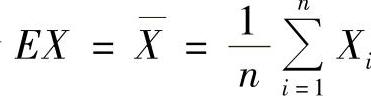
计算EX,并令
,由此算出θ,即为θ的矩估计量θ^.
(2)最大似然估计量的计算方法
设X1,X2,…,Xn的观察值为x1,x2,…,xn,构造似然函数
L(θ)=f(x1;θ)f(x2;θ)…f(xn;θ)(其中f(xi;θ)是xi的概率密度).对lnL(θ)求导,且令
,解此方程得到的θ=θ(x1,x2,…,xn).将其中的x1,x2,…,xn对应地换成X1,X2,…,Xn,即算得θ的最大似然估计量.
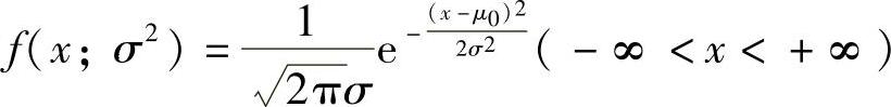
例15.1 设X1,X2,…,Xn为来自正态总体N(μ0,σ2)的简单随机样本,其中μ0已知,σ2>0未知.
与S2分别表示样本均值和样本方差.
(1)求参数σ2的最大似然估计量
;
(2)计算
和
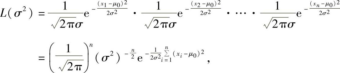
精解 (1)总体的概率密度为
,记样本的观察值为x1,x2,…,xn,则似然函数为

即
由此得到
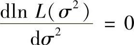
令
得
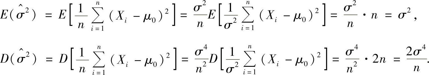
从而σ2的最大似然估计量为

(2)由于
,所以

例15.2 设总体X的概率密度为

其中参数λ未知,X1,X2,…,Xn是来自总体X的简单随机样本.
(1)求参数λ的矩估计量;
(2)求参数λ的最大似然估计量.
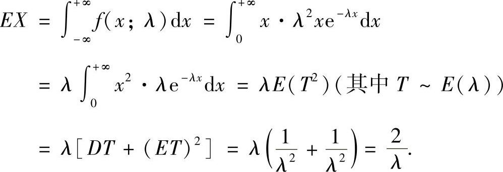
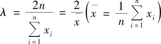
精解 (1)X的数学期望为

令
,即
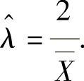
由此得到λ的矩估计量为
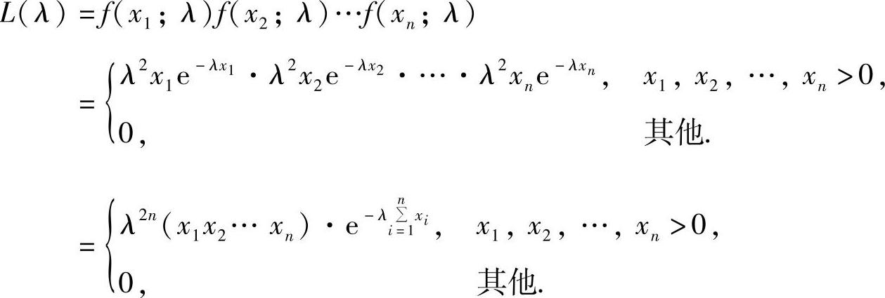
(2)记X1,X2,…,Xn的观察值为x1,x2,…,xn,则似然函数

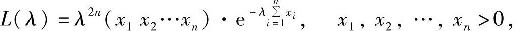
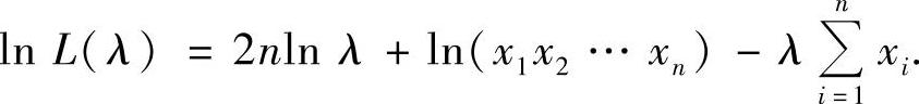
显然L(λ)只能在x1,x2,…,xn>0时才能取到最大值,所以可以化简L(λ)为

即 
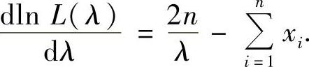
由此可得 
令
得
,因此λ的最大似然估计量为
其中
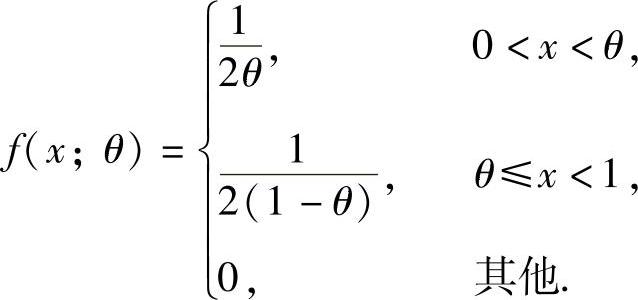
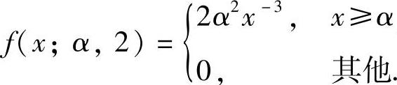
例15.3 (1)设总体X的概率密度为(https://www.daowen.com)

其中θ(0<θ<1)未知,X1,X2,…,Xn是来自总体X的简单样本,X是样本均值.求θ的矩估计量
;
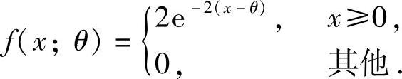
(2)设总体X的概率密度为

其中θ>0是未知参数.设X1,X2,…,Xn是来自X的一个简单随机样本,求θ的最大似然估计量
,并求
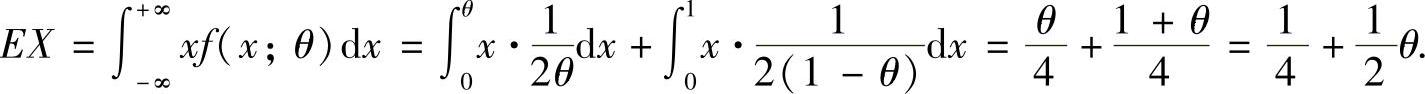
精解 (1)
令
得
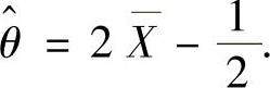
,所以θ的矩估计量为
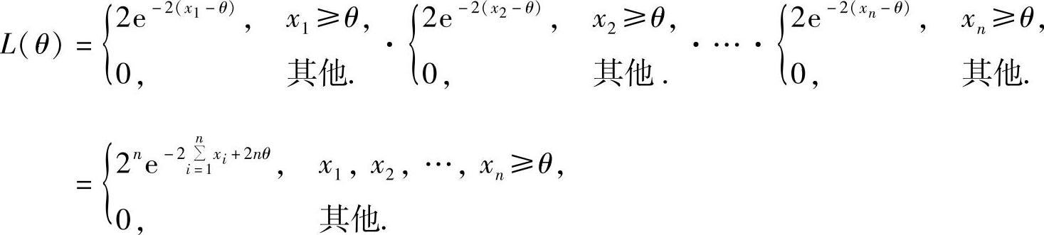
(2)记样本的观察值为x1,x2,…,xn,作似然函数

显然L(θ)的最大值只能在x1,x2,…,xn≥θ处取到,所以可以简化L(θ)为

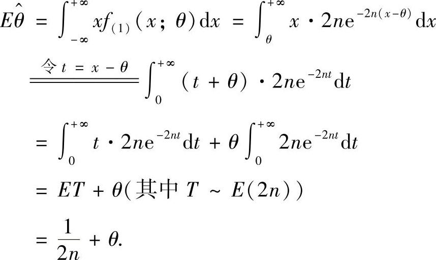
显然它是θ的单调增加函数,在θ=min{x1,x2,…,xn}处取最大值.从而θ的最大似然估计量为

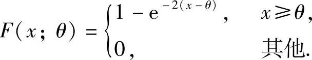
由于X的分布函数为
所以X(1)的分布函数

因此,X(1)的概率密度为

从而

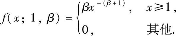
例15.4 设总体X的分布函数为
其中参数α>0,β>1.设X1,X2,…,Xn是来自总体X的简单随机样本,X是该样本的均值.
(1)当α=1时,求β2的矩估计量;
(2)当β=2时,求α的最大似然估计量.
精解 X的概率密度为

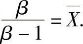
(1)当α=1时,
所以

令
,即
解此方程得
从而β2的矩估计量为
(2)当β=2时,
,记样本的观察值为x1,x2,…,xn,则似然函数

显然L(α)的最大值只能在x1,x2,…,xn≥α上取到,所以可化简似然函数为
L(α)=2nα2n(x1x2…xn)-3, x1,x2,…,xn≥α.
容易知道L(α)是单调增加函数,所以当α=min{x1,x2,…,xn}时L(α)取最大值.因此,α的最大似然估计量