13.2 二维连续型随机变量的各种概率密度的计算
2026年01月14日
13.2 二维连续型随机变量的各种概率密度的计算
设(X,Y)是二维连续型随机变量,f(x,y)与F(x,y)是它的概率密度与分布函数,则

(X,Y)的边缘概率密度:

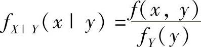
(X,Y)的条件概率密度:
对fY(y)≠0的任意y有
,
对fX(x)≠0的任意x有
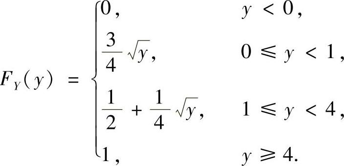
例13.1 设随机变量X的概率密度为

求Y=X2的概率密度.
精解 先计算Y的分布函数FY(y),然后求导算出Y的概率密度fY(y).
按分布函数的定义FY(y)=P(Y≤y)=P(X2≤y).
当y<0时,P(X2≤y)=P(∅)=0;
当y≥0时,
.于是
当0≤y<1时,
当1≤y<4时,
当y≥4时,
因此,
从而
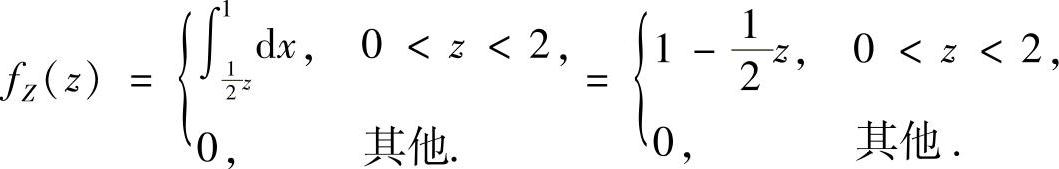
例13.2 设二维随机变量(X,Y)的概率密度为

求:
(1)(X,Y)的边缘概率密度fX(x),fY(y);
(2)随机变量Z=2X-Y的概率密度fZ(z).
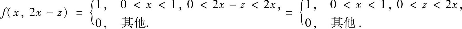
精解 (1)记D={(x,y)0<x<1,0<y<2x}(如图C.13.1阴影部分所示),则f(x,y)仅在D上取值为1,在xOy平面的其他部分取值为0.于是(https://www.daowen.com)

图 C.13.1



(2)Z=2X-Y的概率密度

其中
所以,
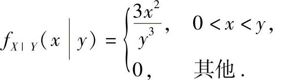
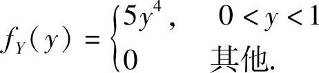
例13.3 设在随机变量Y=y∈(0,1)的条件下,随机变量X的条件概率密度为

而Y的概率密度为
,求X的概率密度fX(x).
精解 先算出(X,Y)的概率密度f(x,y),然后再计算fX(x).

所以,
例13.4 设二维随机变量(X,Y)的概率密度为

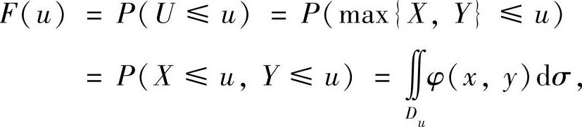
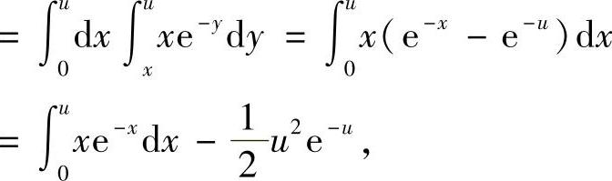
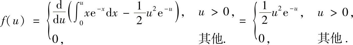
求随机变量U=max{X,Y}的概率密度f(u).
精解 设U的分布函数为F(u),则

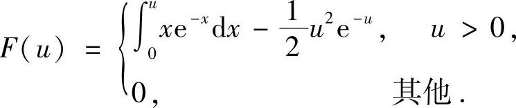
其中Du={(x,y)|x≤u,y≤u}.此外,记D={(x,y)|0<x<y}.于是
当u≤0时,
当u>0时,
所以,
因此,