4.3.2 多项式运算
2026年01月14日
4.3.2 多项式运算
一、多项式乘法
MATLAB中提供了conv函数,可以进行多项式乘法运算.需要注意的是:
①乘号(∗)用于数组乘法,要求第一个数组的列数等于第二个数组的行数;
②点乘(.∗)用于逐个元素的乘法,要求两个数组具有相同尺寸.
这些不要和多项式乘法相混淆.
例4.11 多项式乘法.
解:在命令窗口输入:

这表示:
(2x4-x3+3x2+1)∗(2x2-1)=4x6-2x5+4x4+x3-x2-1
二、多项式除法
除法是乘法的逆运算,MATLAB中多项式除法用deconv函数.
deconv函数的完整语法是:
![]()
其中,q为商多项式;r为余式多项式.该结果表示f=conv(q,g)+r.对deconv只指定一个变量接受返回值时,则只接收q.
例4.12 多项式除法.(https://www.daowen.com)
解:在命令窗口输入:


这表示:

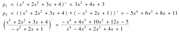
三、多项式微分
MATLAB中对多项式进行微分操作要用到polyder函数.为了处理多种微分情况,polyder有多种语法格式:
①k=polyder(p):直接计算p的微分多项式k,表示k=p′.
②k=polyder(a,b):计算conv(a,b)的微分多项式k,表示k=(conv(a,b))′.
③[q,d]=polyder(a,b):计算分式a/b的微分结果,相当于q/d=(a/b)′.
例4.13 多项式微分.
解:在命令窗口输入:

结果的意义分别是:
