4.3.1 多项式基础
2026年01月14日
4.3.1 多项式基础
1.多项式的表示
在MATLAB中,用行向的一维数组表示多项式,数组元素为多项式的系数,并按照从高阶到低阶的顺序排列,比如多项式:
p(x)=2x3-3x2-1
在MATLAB中用数组表示为:
p=[2 -3 0 -1]
2.多项式的根
MATLAB中可以用roots函数求解多项式的根,结果以列向的一维数组形式返回.
例4.6 求解多项式s(x)=x3-x2-x-2的根.
解:在命令窗口输入:

3.多项式的创建
创建多项式有两种方法:
①直接输入系数数组;
②通过多项式的零点(根)用poly函数创建,poly函数的输入参数是列向的一维数组.
例4.7 多项式的创建.
解:在命令窗口输入:
(https://www.daowen.com)
可见,通过roots求根后再用poly可以得到多项式根对应的多项式的系数.有些情况下,只知道多项式的零点,可以用poly函数创建多项式的系数数组.
poly函数的输入参数还可以是二维数组,这时候poly函数返回的是该数组的特征多项式
,该多项式的零点就是二维数组的特征值.
例4.8 特征多项式.
解:在命令窗口输入:


4.多项式求值
在工程计算中,经常需要计算给定多项式在某点的值.MATLAB中可以用polyval函数来计算多项式在指定点的值.
例4.9 设多项式f(x)=2x4-x3+3x2+1,求值f(1.5).
解:在命令窗口输入:

polyvalm可以接受二维数组形式的输入参数,对二维数组进行运算(即计算矩阵多项式),这种运算要求输入数组是方阵.
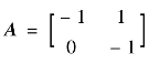
例4.10 设多项式f(x)=2x4-x3+3x2+1,
,计算矩阵多项式f(A).
解:在命令窗口输入:

