4.5.2 非线性方程组的求解
2026年01月14日
4.5.2 非线性方程组的求解
在MATLAB的优化工具箱中提供了非线性方程组的求解函数fsolve,该函数的基本调用格式为:
![]()
其中,x为返回的解;filename是用于定义需求解的非线性方程组的函数文件名;x0是求根过程的初值;option为设定的优化工具箱的优化参数.
优化工具箱提供了20多个优化参数选项,用户可以使用optimset函数将它们显示出来.下面仅列出一些常用的选项:
①Display选项:该选项决定函数调用时中间结果的显示方式,其中off为不显示,iter表示每步都显示,final只显示最终结果.
②LargeScale选项:表示是否用大规模问题算法,取值为on或off.在求解中小型问题时,通常将该选项设置为off.
③MaxIter选项:表示最大允许迭代次数,默认为400次.选择空矩阵,则表示取默认值.
④TolFun选项:表示目标函数误差容限,选择空矩阵,则表示默认值10-6.
⑤TolX选项:表示自变量误差容限,选择空矩阵,则表示默认值10-6.
可以先用option=optimset命令来调入一组默认选项值,如果想改变其中某个参数,则可以调用optimset函数完成.例如,optimset(Display,off)将设定Display选项为off.也可更直观地用结构体属性的方式设置新参数.例如,不求解大规模问题时,最好用下面的语句关闭大规模问题解法选项:(https://www.daowen.com)
![]()
这样可以将LargeScale选项设为off.
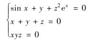
例4.21 求下列方程组在(1,1,1)附近的解,并对结果进行验证.

解:首先建立函数文件myfun.m:

在给定的初值x0=1,y0=1,z0=1下,调用fsolve函数求方程组的根:

将求得的解代回原方程,可以检验结果是否正确,命令如下:
