4.6.4 二次规划
二次规划是非线性规划中一种特殊情形,它的目标函数是二次实函数,约束是线性的.由于二次规划问题比较简单,易于求解,某些非线性规划也可以转化为求解一系列二次规划问题,因此,二次规划算法较早引起人们的重视,成为求解非线性规划的一个重要途径。
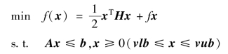
二次规划的标准形式为

其中,H为n阶对称半正定矩阵.
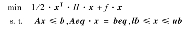
MATLAB中对应的标准形式:

MATLAB调用格式:
x=quadprog(H,f):无约束条件;
[x,fval]=quadprog(H,f,A,b,Aeq,beq):约束中含有线性不等式约束或等式约束;
[x,fval]=quadprog(H,f,A,b,Aeq,beq,lb,ub):变量有下界和上界;
[x,fval,exitflag,output,lambda]=quadprog(H,f,A,b,Aeq,beq,lb,ub,x0,options):x0为迭代初值,返回exitflag参数,描述计算的退出条件.返回包含优化信息的结构输出output,返回解x处包含拉格朗日乘子的lambda结构参数.其中options表示优化参数,可选择3种算法之一:trust-region-reflective、interior-point-convex、active-setactive-set.options缺省时,默认算法trust-region-reflective,其他算法可通过optimset或optimoptions完成,如:

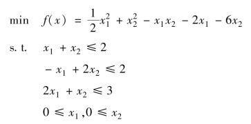
例4.25 求解下面的最优化问题:

解:首先,目标函数可以写成下面的矩阵形式

输入下列系数矩阵:

然后调用二次规划函数quadprog:

得问题的解:


第4章练习题
1.已知向量u=[2,1,5,2]T和矩阵
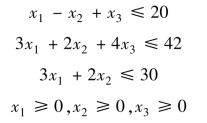
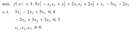
,求:
(1)Au;(2)uTAT;(3)AT;(4)提取第2条对角线元素;(5)提取第2条对角线以上的元素.
2.生成以下矩阵:
(1)3×3零矩阵;(2)3×6全1矩阵;
(3)与矩阵A同型的标准形矩阵,其中
.
3.已知方阵
,求:
(1)A+2E;(2)A的每个元素加2;(3)A的行列式;(4)A的逆;(5)把A旋转90°;(6)特征值及一组特征向量;(7)A的迹.
4.求下列矩阵的行列式、逆、特征值和特征向量.(https://www.daowen.com)

5.将向量组α1=[1,1,1],α2=[1,2,2],α3=[1,1,3]正交规范化.
6.求一个正交变换x=Py,把二次型
f=2x1x2+2x1x3-2x1x4-2x2x3+2x2x4+2x3x4
化为标准形,写出此标准形.
7.设多项式f(x)=5x4-2x3+2x2-2,g(x)=2x-1,计算它们的乘积及除法,求f(x)的所有根.
8.用二次多项式拟合下列数据:

拟合结果画图比较.
9.选择一些函数,在n(如5~11)个结点上用分段线性和三次样条插值方法,计算m(如50~100)个插值点的函数值.通过数值和图形的输出,将两种插值结果与精确值进行比较.适当增加n,再作比较,由此做初步分析.下列函数供选择参考:
(1)y=sin x,0≤x≤2π;
(2)y=(1-x2)1/2,-1≤x≤1;
(3)y=cos10x,-2≤x≤2;
(4)y=e-x2,-2≤x≤2.
10.画图并求函数y=x sin(x2-x-1)在(-2,-0.1)内的零点.
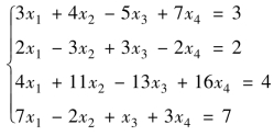
11.解线性方程组.
(1)
,求唯一解;
(2)
,求通解.
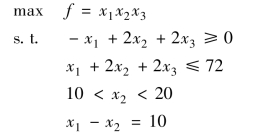
12.求解线性规划问题:
min z=-x1-2x2+x3-x4-4x5+2x6
s.t. x1+x2+x3+x4+x5+x6≤6
2x1+x2-2x3+x4≤4
x3+x4+2x5+x6≤4
xj≥0,(j=1,2,…,6)
13.求使函数f(x)=-5x1-4x2-6x3取最小值的x值,且满足约束条件:

14.求解Rosenbrock函数
的极小值,初始点选为x0=(-1.2,2).
15.设有400万元资金,要求4年内使用完,若在一年内使用资金x万元,则可得效益
万元(效益不能再使用),当年不用的资金可存入银行,年利率为10%.试制订资金的使用计划,以使4年效益之和为最大.
16.解非线性规划问题

17.求解二次规划
