5.1.1 函数极限与间断点的计算
2026年01月14日
5.1.1 函数极限与间断点的计算
一、函数的极限
当自变量x趋于有限数x0时,函数f(x)的极限及其左极限和右极限的定义可以分别表述为

当自变量x趋于无穷大时,函数f(x)的极限的定义可以表述为
![]()
对于二元函数f(x,y),当自变量(x,y)趋于(x0,y0)时,函数f(x,y)的极限的定义可以表述为
![]()
时,有![]()
若二重极限
存在,则两个二次极限
和
也存在,且三者相等.
在MATLAB中,提供了limit函数来求解函数的极限,其调用格式为

其中,L是返回的极限值;expr为极限的符号表达式;x为符号自变量(expr只含一个符号变量时可省略);x0为极限点(默认值为0),可以是确定的数、符号表达式或无穷大;‘left’和‘right’分别为左、右单侧极限选项.
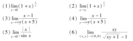
例5.1 求下列函数极限:

解:


此外,也可以借助MATLAB强大的绘图功能,通过函数的图形来直观地观察函数的极限.以
为例,编写如下语句实现在图形上直观地观察出函数极限:

运行结果如图5-1所示.
(https://www.daowen.com)
图5-1
/sin x及其在0点的左、右极限
二、函数的间断点
如果函数f(x)在点x0处满足下列3种情形之一:
①在x=x0处没有定义;
②
不存在;
③
存在,但
.
则称函数f(x)在点x0处不连续,而点x0称为f(x)的间断点.
间断点一般可以分为:
①第一类间断点,又可以分为
(i)可去间断点:
;
(ii)跳跃间断点:
和
都存在,但
.
②第二类间断点,不是第一类间断点的任何间断点都称为第二类间断点.
可以编写程序用来判断点x0是否是函数f(x)的间断点,并给出间断点类型,程序如下:


通过调用上述函数文件即可判定函数的间断点类型.
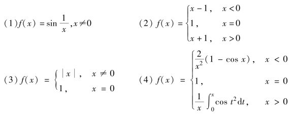
例5.2 判定下列函数间断点的类型.

解:

