第9章 羧酸及其衍生物
问题1 试分离苯甲酸与萘的混合物.
问题2 试拆分α-苯基丙酸外消旋体.
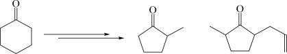
![]()
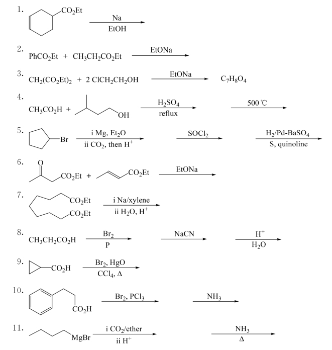
问题3 完成反应


问题4 完成反应

问题5 完成反应并讨论试剂用量.

问题6 家蝇的雌性信息素(pheromone)也可由芥酸(erucic acid)(来自菜籽油)用电化学方法制备.

(1)除去芥酸外,还需要什么羧酸?写出其名称和结构式以及生成上述信息素的电解反应的化学方程式.
(2)该合成反应的理论产率(摩尔分数)多大?说明理由.
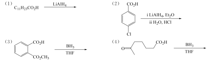
问题7 完成反应

问题8 完成反应

问题9 完成转化

问题10 完成转化

问题11 完成反应

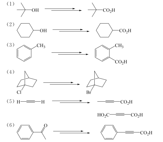
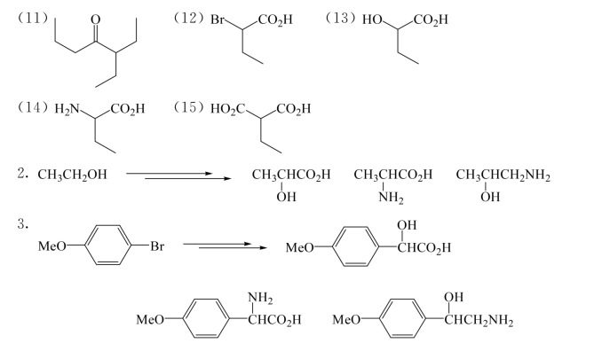
问题12 合成设计
(1)以乙酸为基本原料合成丙二酸.
(2)以乙醇为基本原料合成丁二酸.
(3)以丙烯为基本原料合成戊二酸.
(4)分别以乙炔、丁二烯和THF为基本原料合成己二酸.
问题13 完成转化

问题14 完成转化

问题15 完成转化

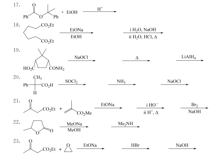
问题16 完成反应

问题17 解释反应

问题18 解释下述反应为什么难以发生.

问题19 按照递减的次序排列下列乙酸酯的水解反应速率:

问题20 完成反应

问题21 完成反应

问题22 解释实验事实
用光活性的(S)-4-戊内酯在含有乙醇钠的乙醇中回流.评论反应的立体化学与旋光性.
问题23 完成反应

问题24 完成反应


问题25 完成反应

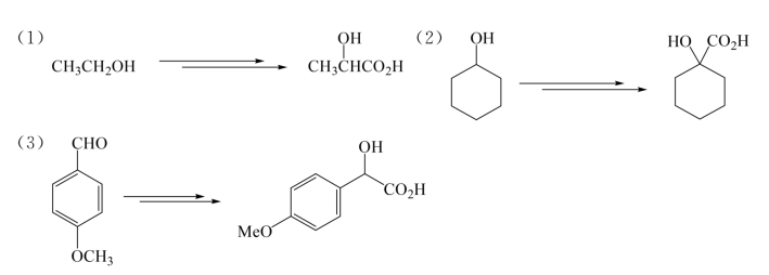
问题26 完成转化
(1)分别将环己醇和环己酮转化成α-羟基环己酮.
(2)![]()
问题27 完成反应

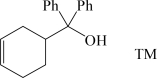
问题28 以苯基溴化镁为基本原料采用三种不同的路线合成三苯甲醇:

问题29 完成转化

问题30 完成转化

问题31 完成反应

问题32 完成转化

问题33 完成反应


问题34 给出可能的合成路线:

问题35 完成反应并评论:

问题36 选用适当原料合成

问题37 给出反应产物并建议机理

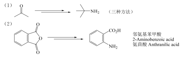
问题38 完成转化(三种方法)并评论

问题39 由开链原料合成

问题40 完成反应


问题41 完成反应

问题42 完成反应

问题43 完成反应

问题44 完成反应

问题45 完成反应

问题46 完成反应

问题47 完成反应

问题48 完成转化
(https://www.daowen.com)
问题49 完成反应


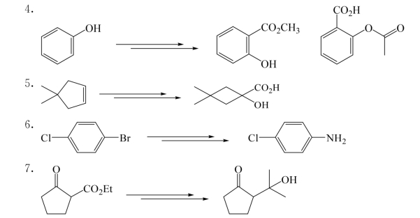
问题50 合成设计
分别以丁二烯和四氢呋喃为基本原料合成己二酸.
问题51 完成反应

问题52 完成反应

问题53 合成设计

问题54 完成转化

问题55 完成转化

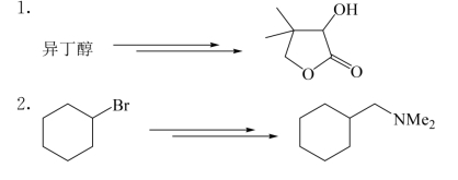
问题56 以适当原料合成镇痛药美沙酮(Methadone).

问题57 合成设计
![]()
问题58 合成设计
以适当原料合成镇痛药杜冷丁(Dolantin)(抗痉挛止痛药).

问题59 建议机理
氰化氢(HCN)亦有Ritter反应,这时得到甲酰胺.

问题60 完成反应

问题61 可否应用乙酰乙酸酯合成法合成以下目标分子?为什么?

问题62 完成转化

问题63 可否应用丙二酸酯合成法合成以下目标分子?为什么?

问题64 合成设计:应用丙二酸酯合成法合成下列目标分子.

问题65 合成设计
以乙酰乙酸乙酯和丙二酸二乙酯为基本原料合成:

习题
一、完成反应



二、完成转化
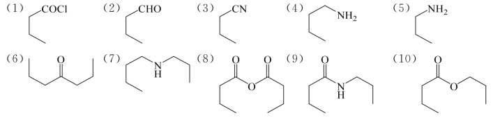
1.将丁酸转化成下列化合物:



8.将环戊酮转化成下列化合物:

三、合成设计


5.用乙酰乙酸酯合成法合成:

6.用丙二酸酯合成法合成:

7.以适当原料合成:

8.以丙烯酸甲酯和甲胺为基本原料合成:

9.以乙酰乙酸乙酯和乙炔为基本原料合成:
![]()
10.以脂肪原料合成:

11.以脂肪原料合成:

12.以简单原料合成:

13.以脂肪原料合成:

14.以苯和脂环原料合成:

15.以脂肪原料合成OLED等材料合成中间体:

四、建议机理





23.美国有机化学家Albert I.Meyers发展了一种醛合成法——Meyers醛合成或Meyers合成(Meyers synthesis,1969).首先用特强碱如丁基锂处理化合物(噁嗪oxazine,OXZ),2,4,4,6-四甲基-5,6-二氢噁嗪(2,4,4,6-tetramethyl-5,6-dihydrooxazine),接着烷基化,然后硼氢化钠还原,最后酸水解,得到脂肪醛,可用于不对称醛合成.化合物(OXZ)可由二元醇与乙腈反应得到,给出反应机理.

试举例讨论Meyers醛合成的应用.
五、推导结构
1.高分辨质谱(HRMS)显示,样品A、B与C均有分子式C5H10O2.皂化、蒸馏,B和C的馏出液有碘仿反应.用铬酸处理馏出液,A与C有银镜反应.写出A、B与C的结构.
2.化合物A与B均有分子式C4H6O2,均能使溴的四氯化碳溶液和稀高锰酸钾溶液褪色.温和酸性水解,A的馏出液对溴的四氯化碳溶液、碘-氢氧化钠溶液和Tollens试剂(银氨溶液)均呈阴性,余液C可使溴的四氯化碳溶液褪色.B的馏出液D对碘-氢氧化钠溶液和Tollens试剂均显阳性.试推测A~D的结构.
3.兹有样品A与B(C4H6O4),均溶于稀氢氧化钠水溶液,和碳酸钠作用有气体放出.加热A得C(C4H4O3),遇热水又得到A.加热B有气体逸出并得D(C3H6O2),D溶于碳酸钠水溶液.试推测A与B的结构.
4.化合物A、B、C和D(C4H8O2),A溶于碳酸钠水溶液并有气体放出.与稀氢氧化钠溶液共热,B产生E和F,E有银镜反应,F有碘仿反应;C产生G和H,H有碘仿反应;D得I和J,对碘-氢氧化钠溶液均呈阴性.给出A~D的结构.
5.化合物A(C7H10)与溴的四氯化碳溶液作用产生B(C7H10Br4),A经臭氧化分解得甲醛和C(C6H8O2),后者经铬酸氧化得D(C6H8O5),加热到150℃放出二氧化碳并产生E(C5H8O3),E经硼氢化钠处理生成一个能溶于水的化合物F(C5H10O3).试推导A~F的结构.
6.化合物A(C10H12O3)中和当量为179±1,用热高锰酸钾处理产生B(C8H8O3).A若与亚硫酰氯作用再经三氯化铝处理仅得C(C10H10O2),C与苯肼作用有黄色沉淀,C在含乙醇钠的乙醇溶液中与苯甲醛作用产生得D(C17H14O2),C与D用热高锰酸钾处理都生成E(C9H8O5),中和当量为98±1.试推导A~E的结构.
7.化合物A(C5H8O)与甲基碘化镁作用、水解得B和C(C6H12O)混合物,B与溴的氢氧化钠溶液作用、酸化得异戊酸,C与硫酸氢钾共热生成D(C6H10),D与丁炔二酸共热产生E(C10H12O4),E经钯催化脱氢得3,5-二甲基-1,2-苯二甲酸.试推导A~E的结构.
8.化合物(C7H13BrO2)不成肟或腙,有波谱数据:νmax1 740(s)cm-1;δH4.6(m,1 H),4.2(t,1 H),2.1(m,2 H),1.3(d,6 H),1.0(t,3 H)ppm.给出该化合物的结构.
9.C9H10O3:νmax3 400~2 500(br),1 700,830 cm-1;δH11.95(s,1 H),8.2(d,2 H),7.1(d,2 H),4.3(q,2 H),1.6(t,3 H)ppm.
10.化合物A、B与C(C9H10O2)的波谱数据如下,推导其结构.
A:νmax3 200~2 500,1 710,820 cm-1;δH10.97(s,1 H),7.12(br s,4 H),3.57(s,2 H),2.31(s,3 H)ppm.
B:νmax1 719,1 276,1 109,711 cm-1;δH8.05(d,2 H),7.52~7.41(m,3 H),4.36(q,2 H),1.38(t,3 H)ppm.
C:νmax1 740,1 257,1 160 cm-1;δH7.35(s,5 H),3.65(s,3 H),3.60(s,2 H)ppm.
给出A、B与C的结构.
11.化合物A(C3H6Br2),与氰化钠作用生成B(C5H6N2),B经稀硫酸处理得C,C与乙酸酐共热给出D,D有波谱数据:νmax1 820,1 755 cm-1;δH2.8(t,4 H),2.0(p,2 H)ppm.给出A~D的结构.
12.化合物A(C5H8O3)有IR吸收:νmax3 400~2 400,1 760,1 710 cm-1;与碘/氢氧化钠作用得B(C4H6O4),δH2.3(s,4 H),12.0(s,2 H)ppm.给出A和B的结构.
13.化合物(C9H10O3)是防腐剂尼泊金(nipagi;paraben),试根据所给波谱信息推导其结构.νmax3 220(s),1 674(s),1 607,1 288(s),1 169,816 cm-1.δH7.95(d,2 H),7.70(s,1 H),6.93(d,2 H),4.36(q,2 H),1.39(t,3 H).δC167.6,160.8,132.0,122.2,115.4,61.2,14.3 ppm.m/z 166(23),121(100).
14.根据所给反应以及波谱信息推导A~D的结构.

15.化合物A(C7H12O)与甲基碘化镁作用生成B(C8H16O),B与磷酸共热产生C(C8H14),C经臭氧化给出D(C8H14O2),D在哌啶存在下与丙二酸共热生成蜂王素E(C10H16O3)(queen pheromone,可从蜂蜜中提取),E经催化氢化生成F(C10H18O3),F与碘的氢氧化钠溶液作用生成碘仿和杜鹃花酸(azelaic acid)(壬二酸).D与银氨溶液作用,再经Clemmensen还原给出辛酸.推导A~F的结构.