14.1 糖
2026年01月14日
14.1 糖
习题
一、完成反应
1.D-甘露糖(mannose)与下列试剂的反应:

(5)高碘酸5 HCO2H+HCHO


2.D-半乳糖(galactose)转化:

(1)甲基β-D-半乳糖苷

(2)甲基β-2,3,4-6-四甲基-D-半乳糖苷

(3)2,3,4-6-四甲基-D-半乳糖

(4)D-塔罗糖(D-talose)

(5)D-异木糖(D-lyxose来苏糖)

此为Wohl降解.
(6)D-酒石酸(D-tartaric acid)

此为Ruff降解.
二、糖合成(https://www.daowen.com)
1.由D-赤藓糖(erythrose)合成D-核糖(ribose)与D-阿拉伯糖(arabinose):

i HCN;ii HCl/H2O;iii Na-Hg,H2O/pH 3~5
此为Kiliani-Fischer合成.
2.由D-阿拉伯糖(arabinose)合成D-葡萄糖(glucose)与D-甘露糖(mannose):

i HCN;ii H2/Pd-BaSO4
此为改良的Kiliani-Fischer合成.
3.由D-古洛糖(gulose)合成D-木糖(xylose):

i NH2OH/HCl;ii Ac2O,AcONa/Δ;iii MeONa/MeOH
此为Wohl降解.
4.由D-木糖(xylose)合成D-苏阿糖(threose):

iBr2/CaCO3;ii H2O2/Fe2(SO4)3;iiiΔ,-CO2
此为Ruff降解.
三、结构推导


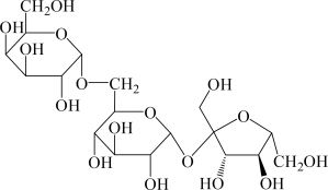
5.棉籽糖(raffinose)

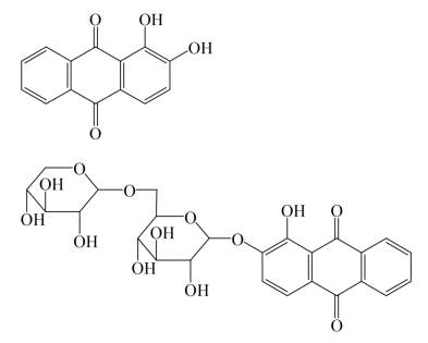
6.茜素和茜草根酸

茜草根酸分子中的两个糖苷键构型不能确定,实际上都是β-型.