14.2 氨基酸、肽与蛋白质
2026年01月14日
14.2 氨基酸、肽与蛋白质
习题
一、写出下列化合物的结构

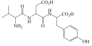
3.Val-Asp-Tyr

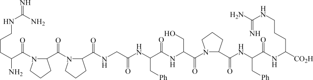
4.运动徐缓素Arg-Pro-Pro-Gly-Phe-Ser-Pro-Phe-Arg


二、完成反应

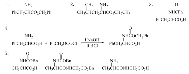
三、合成设计
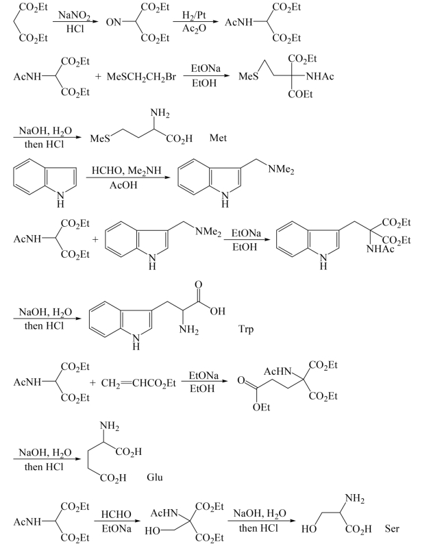
1.由乙醇合成丙氨酸:


2.用Gabriel合成法合成苯丙氨酸.

3.利用乙酰氨基丙二酸酯法合成:蛋氨酸、色氨酸、谷氨酸和丝氨酸.

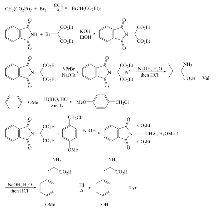
4.利用Gabriel-丙二酸酯法合成缬氨酸和酪氨酸.
(https://www.daowen.com)
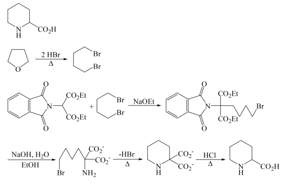
5.利用Gabriel-丙二酸酯法由四氢呋喃合成:

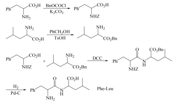
6.苯丙氨酰亮氨酸

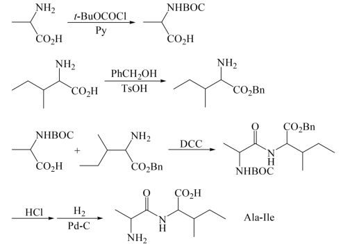
7.Ala-Ile

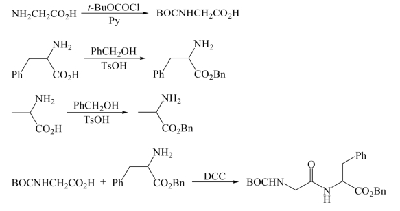
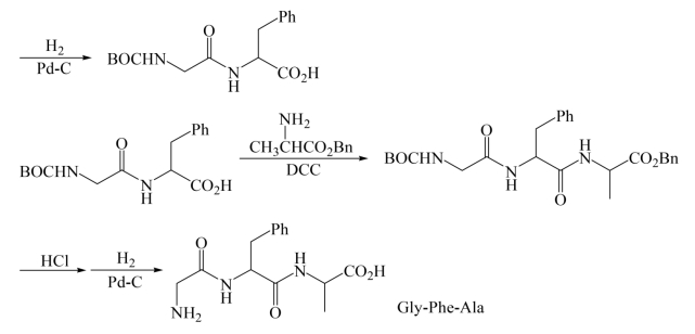
8.Gly-Phe-Ala


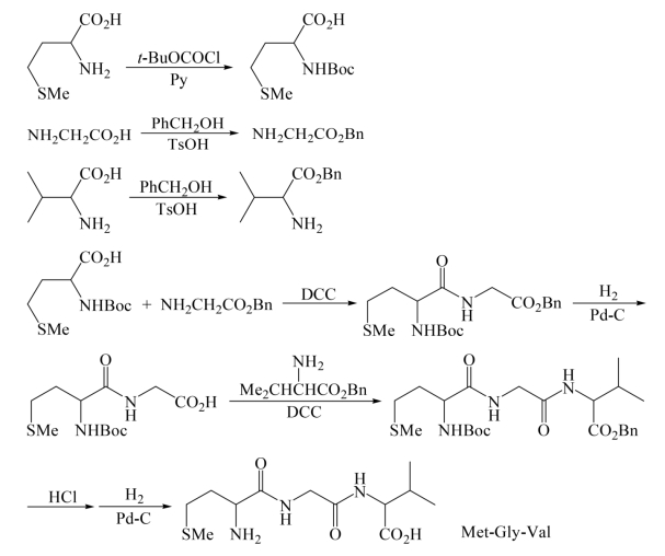
9.Met-Gly-Val

四、推导结构

2.Ala-Glu-Gly-Leu
完全水解:
Ala+Glu+Gly+Leu
部分水解:
Ala+Glu-Gly-Leu;Ala-Glu+Gly-Leu;Ala-Glu-Gly+Leu
3.七肽
His-Ala-Gly-Ser-Asp-His-Aia