第13章 杂环化合物

第13章 杂环化合物

问题1 纯化

加浓硫酸振荡、静置,分出酸层,苯层水洗、干燥、蒸馏,即可得无噻吩苯.

问题2 完成反应

图示

问题3 完成反应

图示

习题

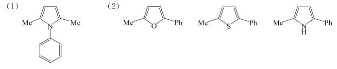
一、命名

图示

图示(https://www.daowen.com)

二、合成设计

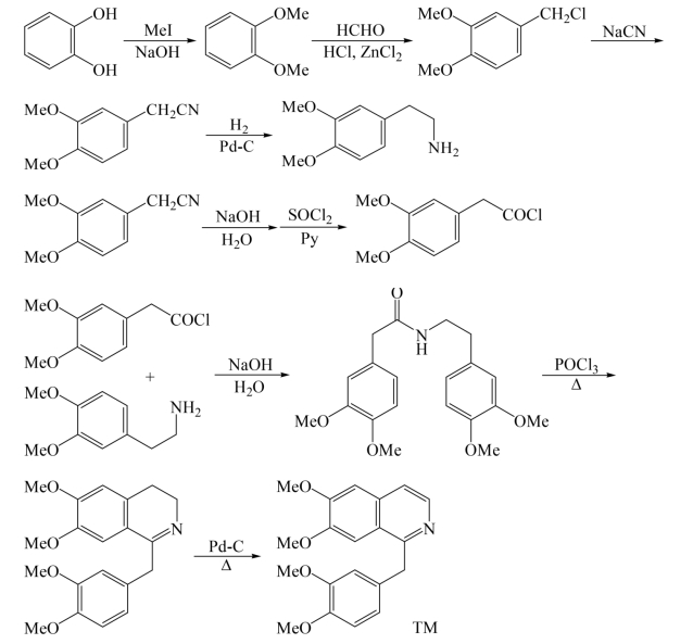
1.合成罂粟碱(papaverine):

图示

此为Bischler-Napieralski异喹啉合成.

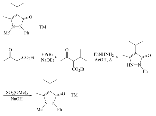
2.合成异丙安替比林(isopropylantipyrine):

图示

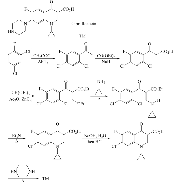
3.合成环丙沙星:

图示

三、推导结构

图示