第15章 周环反应
2026年01月14日
第15章 周环反应
问题1 完成反应

问题2 完成反应

问题3 完成反应

问题4 完成反应

问题5 完成反应

问题6 完成反应

问题7 解释反应

问题8 完成反应

问题9 完成反应

习题(https://www.daowen.com)
一、完成反应

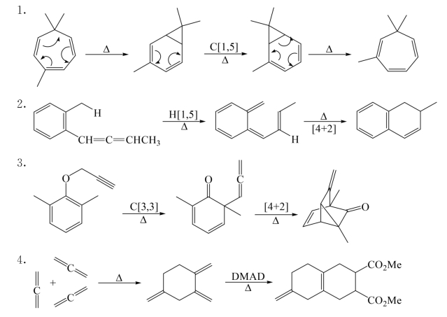
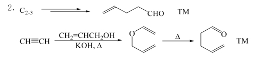
二、实现下列转化
1.iΔ;ii hνor i hν;iiΔ 2.iΔ;ii hνor i hν;iiΔ
三、解释实验事实

第一次H[1,5]迁移后,手性已经消失,再次H[1,5]迁移,新生一个手性碳,必然是一对对映异构体,且等量生成,所以不旋光.
四、解释反应

五、合成设计
![]()
路线Ⅰ

路线Ⅱ

两条路线都是由关键中间体1,5-己二烯-3-醇通过oxy-Cope重排转化成目标分子.不同的是中间体的制备方法.路线Ⅱ是由二烯丙基醚通过Wittig重排制备的.路线Ⅰ的制备也可用烯丙基锂(第8章 问题81).二烯丙基醚也可由烯丙醇酸脱水制备.

这里利用Claisen重排构建碳-碳键,从而将乙烯基烯丙基醚转化成目标分子.
