7.5 实证研究
关于我国股票市场与国际股票市场是否存在长期关联的问题,本书第6章展开了探讨,对我国上证综指与国际主要发达国家(美国、日本、德国和英国),以及与新兴市场经济发展中国家“金砖五国”中三个国家的股票指数,取样本数据为2005年1月11日至2009年3月27日的日收盘数据(剔除各股市未同时开市的日期样本,得到样本容量为814),得到表6-19的结果。本章应用所讨论的方法继续展开对存在非线性协整关系的我国上证综指与其他国家的股票指数的非线性结构进行估计。
考虑各国时区及开盘时间,当日开盘顺序为日本→中国→印度→俄罗斯→德国→英国→巴西→美国。注意到美国股市开市时间已经是中、日两国股市闭市之后,因此,考虑时区的影响,本书将中国、日本、印度和俄罗斯归为同一个交易日时期,而将德国、英国、巴西和美国归为同一个交易日时期,在研究美国等国股市对中国股市的影响时,将美国、德国等国股指滞后一期进行衡量。
本章主要应用神经网络方法研究中国上证综指SZ受到国际股市其他股指的具有显性非线性结构形式的非线性协整关系。由第6章的研究有如下四种情形:(SZ,BS),(SZ,US,JP),(SZ,US,UK),(SZ,US,JP,UK)。本章基于此展开讨论。
首先利用本书第4章4.3.5.1介绍的修正R/S统计量与修正Hurst指数来判断各国股指是否为LMM序列,结果如表7-4所示。
表7-4 各国股指的修正R/S统计量检验与修正的Hurst指数

由表7-4可知,各股指的修正R/S统计量检验均表明序列显著为LMM序列,其修正Hurst指数值也在1附近,由本书第4章4.2.2.2的研究结论可以判断各序列为LMM序列。
其次,应用各神经网络方法探测前述四种情形的非线性协整关系。本书经实验比较分析各神经网络方法,得出相应结论如下:
(1)上证综指SZ与巴西BOVESPA指数BS。
BP网络、高斯小波与墨西哥帽小波均表明,使用1个输入节点、6个隐层节点和1个输出节点的神经网络较为合适,其估计结果也基本一致,考虑到小波网络的参数要多,这里给出使用改进LM算法得到的BP神经网络的估计模型结果:

其估计与残差的结果示意图如图7-10所示。

图7-10 上证综指对巴西BOVESPA指数的估计与残差图
由图7-10可知,巴西BOVESPA指数对上证综指有部分影响,其与上证综指有较明显的联动关系。
进一步,对于残差
的单位根检验,结果如表7-5所示:
表7-5 残差
的各单位根检验结果

注:*,**,***分别为10%,5%,1%显著性水平下拒绝单位根的原假设(KPSS则原假设为平稳序列)。
由表7-5可知,除KPSS与全距检验未通过外,其余检验均表明残差
为平稳序列,不一致通过的原因可能与巴西BOVESPA指数对上证综指有部分影响有关,本书这里不展开讨论。而对于残差
的修正R/S统计量,其值减少至99.7334,修正Hurst指数减为0.8304,这表明残差序列可能为中等记忆的。
(2)上证综指SZ与美国标准普尔500指数US,日本日经255指数JP。除Marlet小波外,BP网络、高斯小波与墨西哥帽小波均表明,使用2个输入节点、10个隐层节点和1个输出节点的神经网络较为合适,而线性加强BP网络效果要更好,中间层使用了8个隐层节点,因此,这里给出使用改进LM算法得到的线性加强BP神经网络的估计模型结果:

其估计与残差的结果示意图如图7-11所示。

图7-11 上证综指对美国标准普尔500指数,日本日经255指数的估计与残差图
对于残差
的单位根检验,结果如表7-6所示:
表7-6 残差
的各单位根检验结果

由表7-6可知,除UNI检验未通过外,其余检验均表明残差
为平稳序列,不一致通过的原因可能与残差
存在ARCH效应有关,本书这里不展开讨论。而对于残差
的修正R/S统计量,其值减少至70.9075,修正Hurst指数减为0.7853,这表明残差序列可能为中等记忆的。
(3)上证综指SZ与美国标准普尔500指数US,英国富时100指数UK。(https://www.daowen.com)
Marlet小波、BP网络、高斯小波与墨西哥帽小波均表明,使用2个输入节点、10个隐层节点和1个输出节点的神经网络较为合适,这里给出使用改进LM算法得到的线性加强BP神经网络的估计模型结果:

其估计与残差的结果示意图如图7-12所示。

图7-12 上证综指对美国标准普尔500指数,英国富时100指数的估计与残差图
对于残差
的单位根检验,结果如表7-7所示:列,不一致通过的原因可能与残差
存在ARCH效应有关,本书这里不展开
表7-7 残差
的各单位根检验结果

由表7-7可知,除KPSS检验未通过外,其余检验均表明残差
为平稳序讨论。而对于残差
的修正R/S统计量,其值减少至108.7492,修正Hurst指数减为0.8411,这表明残差序列可能为中等记忆的。
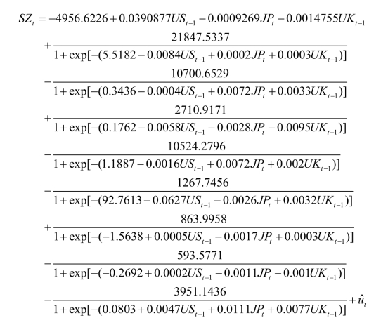
(4)上证综指SZ与美国标准普尔500指数US,日本日经255指数JP,英国富时100指数UK。
Marlet小波,BP网络、高斯小波与墨西哥帽小波均表明,使用2个输入节点、9个隐层节点和1个输出节点的神经网络较为合适,而线性加强BP网络的中间层只使用了7个隐层节点,因此,这里给出使用改进LM算法得到的线性加强BP神经网络的估计模型结果:

其估计与残差的结果示意图如图7-13所示。

图7-13 上证综指对美国标准普尔500指数,日本日经255指数以及英国富时100指数的估计与残差图
对于残差
的单位根检验,结果如表7-8所示:而对于残差
的修正R/S统计量,其值减少至74.122,修正Hurst指数减为
表7-8 残差
的各单位根检验结果

由表7-8可知,检验一致以1%显著性水平通过表明,残差
为平稳序列,0.7786,这表明残差序列可能为中等记忆的平稳序列。
综上实证分析可知,用神经网络可以分析出存在非线性协整关系的股指变量间的非线性结构,能够进行非线性协整估计,这进一步验证了前述秩检验理论的检验结果,利用修正R/S统计量值与修正Hurst指数值则可以反映序列的非线性复杂程度。从实证结果看,上证综指受美国股票市场的影响较大,并随日本与英国证券市场的加入呈现出有一定线性结构的非线性形式,这表明我国的证券市场正日益成熟并国际化。由于本书第6章6.4.4所分析的原因,巴西对我国的股市产生了一定的影响,这需要进一步研究以发现其中的原因。
【注释】
[1]鲁棒性是指求解优化问题的效率与稳定性之间的有机协调性。
[2]学习率可变算法、弹性BP算法、比例共轭梯度算法(Scaled conjugate gradient, SCG)等改进BP模型算法。
[3]适应度取F=1-1/(1+1/E),E为总平均误差。
[4]Kah Phooi Seng指出,两参数值越小,收敛误差则越小。
[5]适应度取F=1-1/(1+1/E),E为总平均误差。
[6]在进行非线性函数逼近时,无需这些小波函数的常数系数,故直接给出带变量的函数部分。
[7]由于实际编程发现,父代可能完全相同,或者适应度出现完全相同,此时,Srinivas与Patnaik(1996)定义的第一个式中分母会为0,从而程序出错,故稍作调整。
[8]实际编程时,注意到最大值组和最小值组取值各分量可能相同,在不太确定的情形下,亦可直接在取值范围内各分量随机产生。