2.2.2 解析函数的概念
2026年01月14日
2.2.2 解析函数的概念
解析函数是指在某个区域内可导的函数,它在理论和实际问题中应用广泛,具体定义如下:
定义2 若函数f(z)在点z0的某个邻域内(包含点z0)处处可导,我们称f(z)在点z0处解析,也称它在z0全纯或正则,并称z0 是f(z) 的解析点,若函数f(z)在点z0处不解析,则称点z0 是f(z)的奇点; 若函数f(z)在区域D内的每一点都解析,则称函数f(z)在区域D内解析,或称f(z)是区域D内的解析函数.函数f(z) 在闭域
内解析,是指f(z)在包含
的某区域内解析.
根据定义可知,函数在区域内解析与在区域内可导是等价的,而函数在一点处解析可知函数在一点处可导,反之则不成立.函数闭区域上解析可推出函数在闭区域上可导,反之则不成立.
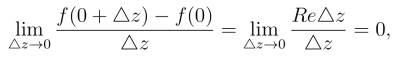
例5 研究函数f(z)=zRez的可导性与解析性.
解 在点z =0处,有

故f(z)=zRez在z =0处可导.
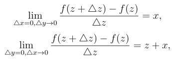
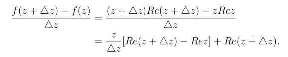
当z
0时,有
(https://www.daowen.com)
令△z =△x+i△y,

因为

所以
(△z →0)的极限不存在,即当z
0时,f(z)不可导.因此,f(z)仅在z =0 处可导,而在其它点都不可导,根据定义,它在复平面内处处不解析.
根据复变函数的求导法则,容易得到下面关于解析函数运算性质的定理.
定理1 (1)设函数f(z)与g(z)在区域D内解析,则它们的和、差、积、商(除去分母为零的点)都在D内解析.
(2)设函数h=g(z)在z平面上的区域D内解析,函数w =f(h)在h平面上的区域G内解析.如果对D内的每一个z,函数g(z) 的值h都属于G,则复合函数w =f(g(z)) 在D内解析.