2.4.1 指数函数
2026年01月14日
2.4.1 指数函数
从上节例2可知,f(z)=ex(cos y+i sin y)在整个复平面上解析,且f′(z)=f(z).容易验证f(z1+z2) =f(z1)+f(z2),据此我们给出复变指数函数的定义.
定义1 对任意的复数z =x+iy,定义指数函数为
w =ex(cos y+i sin y),
记作ez.
显然,|ez|=ex >0,而Arg(ez)=y+2kπ(k为整数),从而ez
0.当z 取实数,即y = 0,z = x时,ez = ex,此时它与实变量指数函数ex 一致,可见复指数函数是实指数函数的推广.当z取纯虚数,即x = 0,z = iy 时,得到欧拉(Euler)公式
ez =eiy =cos y+i sin y.
由定义,容易验证指数函数ez具有下列性质:
(1) 复变量指数函数ez在整个复平面内都有定义,且在整个复平面内解析,有

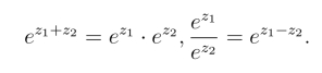
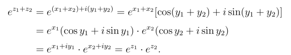
(2) ez满足加法、减法定理,对于任意的z1,z2,有

事实上,设z1 =x1+iy1,z2 =x2+iy2,则

同理可证.但(ez1)z2 =ez1z2一般不成立.(https://www.daowen.com)
(3) 由加法定理,可推出ez的周期性.对任意整数k,都有
![]()
因为
![]()
一般地,对任意整数k,都有
![]()
2πi是ez的周期且模最小,我们称2πi是ez的基本周期.因此,我们常说ez是以2πi为周期的周期函数.
(4)
不存在.
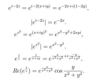
例1 设z =x+iy,求![]()
解 因为
![]()
所以其模|ez|=ex,实部Re(ez)=ex cos y.
