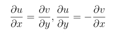
2.3 柯西-黎曼条件
从上节可以看出,并不是每一个函数在定义域或给定的区域内都是解析的,我们可以根据解析的定义来判断它是否解析,但这对于大多数函数都是相当困难的.本节从函数的实部和虚部出发,当它们之间满足某种特别关系时,函数w = f(z) 是解析的.下面的定理给出了这种特别关系,即柯西-黎曼条件(C-R 条件),从而也给出了判别函数w =f(z)可微及解析的方法.
定理1 设复变函数f(z) = u(x,y)+iv(x,y) 在区域D内有定义,则f(z)在D内解析的充分必要条件是: 二元实函数u(x,y)与v(x,y)在D内任意一
点z =x+iy可微,且满足柯西-黎曼条件

证明 必要性.设点z =x+iy为D内任意一点,令
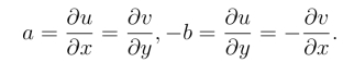
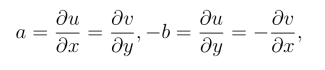
△z =△x+i△y,△w =△u+i△v,f′(z)=a+ib.
因为f(z)在D内解析,则f(z)在点z = x+iy处可导,由微分的定义可知,对充分小的|△z|>0,有
△w =f(z+△z)-f(z)=f′(z)△z+ρ(△z)△z,
其中,
代入得
△u+i△v =(a+ib)(△x+i△y)+ρ(△z)△z =a△x-b△y+i(b△x+a△y)+ρ(△z)△z,
从而有
△u=a△x-b△y+Re(ρ(△z)△z),△v =b△x+a△y+Im(ρ(△z)△z).
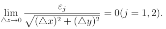
又
= 0,Re(ρ(△z)△z)与Im(ρ(△z)△z)均是|△z| 的高阶无穷小,故由二元实函数微分的定义可知,u(x,y)与v(x,y) 在点(x,y)可微,且在该点处有

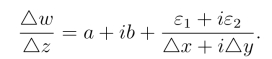
充分性.由于u(x,y)与v(x,y)在D内任意一点z =x+iy可微,有

这里
由柯西-黎曼条件,令

则
△w =△u+i△v =a△x-b△y+ε1+i(b△x+a△y+ε2)=(a+bi)(△x+i△y)+ε1+iε2,
即

由于
当△z →0时,
→0 ,从而

即f(z)在D内任一点都可导,且

因而它在D内解析.
这个定理不但提供了判断函数f(z)在某点是否可导,在区域内是否解析的常用方法,而且给出了一个简洁的求导公式.这里需要特别指出的是,判断函数是否解析必须同时满足u(x,y),v(x,y)在D内可微与满足柯西-黎曼条件,两者缺一不可.
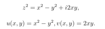
例1 试利用C-R条件,证明函数f(z)=z2在复平面上解析.
证明 设z =x+iy,则
(https://www.daowen.com)

在复平面上,显然偏导数均连续,因此u(x,y) = x2-y2,v(x,y) = 2xy可微且满足C-R条件,故z2在复平面上解析.
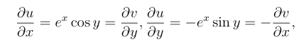
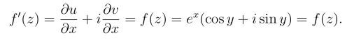
例2 设f(z) = ex(cos y+i sin y),试证明该函数处处可微,且有f′(z) =f(z).
证明 由u(x,y)=ex cos y,v(x,y)=ex sin y得

其中四个偏导数处处连续,从而u(x,y)与v(x,y)处处可微; 它们又处处满足C-R方程.于是由定理1可知,函数f(z)处处可微,且有

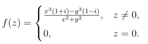
例3 假设

试证明:函数f(z)在z =0满足C-R条件,但不可导.
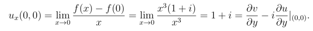
证明 考虑极限

(1)沿虚轴的极限

(2)沿实轴的极限

这两个极限分别为

所以满足C-R条件.但若考虑沿直线y =x的极限,有

故极限
不存在,即函数f(z)在z =0不可导.
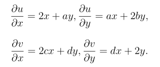
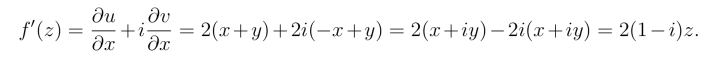
例4 设f(z)=x2+axy+by2+i(cx2+dxy+y2),问常数a,b,c,d 取何值时,f(z)在复平面内处处解析?并求出其导数.
解 由u(x,y)=x2+axy+by2,v(x,y)=cx2+dxy+y2得

这四个偏导数都处处连续,所以u(x,y)与v(x,y)都处处可微,要使得f(z)解析,只要u(x,y),v(x,y) 满足C-R条件,即

成立,即
![]()
因此,当a=2,b=-1,c=-1,d=2时,f(z)在复平面内处处解析.
f(z)的导数为
