6.3.1 幂函数与根式函数
幂函数w =zn(n ≥2为自然数)在z平面上处处可导,且除去原点外导数不为零,因此,在z平面上除去原点外是处处保角的.
下面讨论w = zn在原点的性质.若令z = reiθ,w = ρeiφ,则由ρeiφ =rnelnθ,得
![]()
由此可知,在w = zn映射下,z平面上的圆周|z| = r映射成w 平面上的圆周|w|=rn,射线arg z =θ0 映射成射线arg w =φ=nθ0,正实轴θ =0映射成正实轴φ=0,角形域0 <θ <θ0
映射成角形域0 <φ <nθ0(图6.15).

由幂函数w = zn所构成的映射的特点是: 把以原点为顶点的角形域映射成以原点为顶点的角形域,但张角变成了原来的n倍.因此,如果要把角形域映射成角形域,一般利用幂函数.
例1 求把角形域0 <arg z <
映射成单位圆|w|<1的一个映射.
解 由于ξ = z4将所给角形域0 <arg z <
(图6.16(a))映射成上半平面Imξ >0(图6.16(b)).又由于分式线性映射w =
将上半平面映射成单位圆|w|<1(图6.16(c)),因此所求的映射为

(https://www.daowen.com)
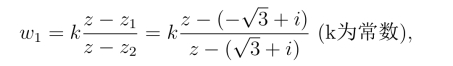
例2 求一函数,它把半月形域:|z| <2,Imz >1保角地映射成上半平面.
解 设|z|=2和Imz =1的交点分别为z1,z2,解方程组

得
且可知在点z1 处|z|=2与Imz =1得交角![]()
先将圆弧和直线段映射成从原点出发的两条射线,目的是将半月形域映射成角形域,则z1,z2分别映射成w1 =0和w1 =∞,作分式线性映射

若取k = -1,可将半月形域保角地映射成角形域0 <arg w1 <
(可用线段i <y <2i在角形域内确定k的值).
再通过幂函数w =
将角形域0 <arg w1 <
映射成上半平面(图6.17).因此将上述两个函数复合起来,便得所求的映射

