6.2.6 三种特殊的分式线性映射
1.将上半平面Imz >0映射为单位圆|w|<1的分式线性映射
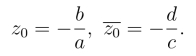
设所求的分式线性映射为w =
它将Imz = 0 映射|w| = 1,上半平面内一点z0映射为圆心w = 0,根据分式线性映射保对称性的特点,点z0关于实轴的对称点应该映射成点w = 0关于单位圆周对称的点w = ∞,这样,由
![]()
可得
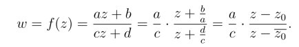
![]()
即

从而

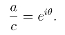
因为边界Imz =0映射成边界|w|=1,所以取z =x(实轴上的点),则

得

因此所求的分式线性映射为

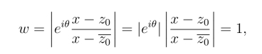
反之,该映射必将上半平面Im(z) >0映射成单位圆|w| <1.这是因为当取z =x(实轴上的点)时有

即它把实轴映射为单位圆周,且把上半平面的点z0映射成圆心w = 0,因此由边界对应原理,它必将Imz >0映射成|w|<1.
综上,分式线性映射把上半平面映射成单位圆内部的充分必要条件是具有式(6.2.3)的形式.
但应注意,在式(6.2.3)中,即使z0给定了,w也不是唯一的,还必须确定实参数θ的值,才能得到唯一的映射.
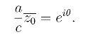
例3 求分式线性映射,将Imz >0保角地映射成|w|<1,并且
(1)把点z =i映射成w =0;
(2)从点z = i出发平行于正实轴的方向,对应点从w = 0出发的虚轴正向(图6.12).
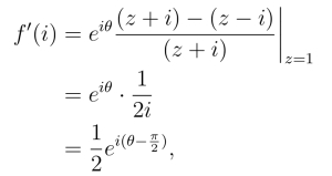
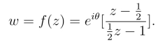
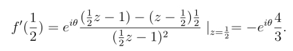
解 可设所求的映射为w =f(z)=
由于

即arg f′(i) = θ-
由条件(2)及arg f′(i) 的几何意义(将z平面的矢量旋转角度arg f′(i)),因此

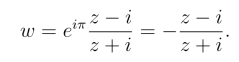
于是θ =π,从而所求的分式线性映射为


2.将单位圆内|z|<1映射为单位圆内|w|<1 的分式线性映射
设分式线性映射w = f(z) =
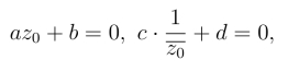
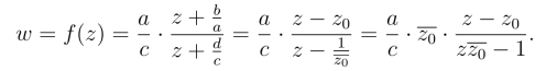
把单位圆内|z| <1映射为单位圆内|w|<1,则它必将|z|<1 内一点z0 映射为w =0,由分式线性映射的保对称性可知,点z0 关于单位圆周|z| = 1 的对称点
应该映射成点w = 0 关于单位圆周|w|=1的对称点w =∞(图6.13),因此,由


可得

即
(https://www.daowen.com)
从而

因为外界|z|=1映射为边界|w|=1,取z =1,则

于是由

得

因此

反之,式(6.2.4)必将|z|<1映射成|w|<1,因为当z =eiθ时,有

由保圆性,它将|z| = 1映射成|w| = 1,又w(z0) = 0,由保侧性,它必将|z|<1映射为|w|<1.
例4 试求一分式线性映射,将|z| <1映射为|w| <1,把z =
映射成w =0,并满足![]()
解 由条件
知,所求的映射要将|z| <1内的点z =
映射成|w|<1的中心.所以由式(6.2.4)得

于是得

由于
因此
为正实数,从而θ =(2k+1)π(k =0,±1,···),所以所求的映射为

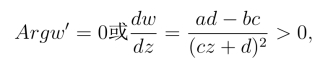
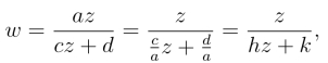
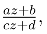
3.将上半平面Imz >0映射为上半平面Imw >0 的分式线性映射
设分式线性映射w =
将上半平面映射成上半平面,根据边界对应原理,它必把实轴映射成实轴,因此a,b,c,d必为实数.设将z平面的实轴上的3点x1 <x2 <x3映射成w平面上的3点w1 <w2 <w3,即保持正方轴的方向不变.因此,当z为实数时,w在z =x处的旋转角为零,即

从而有ad-bc >0,于是

反之,对任意一个公式线性映射w =
其中a,b,c,d是实数,只要ad-bc >0,它必然将上半平面映射成上半平面.
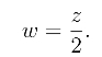
例5 求将Imz >0映射成Imw >0的分式线性映射w = f(z),且f(0) =0,f(i)= ![]()
解 设w =f(z)=
由f(0)=0,得b=0,于是

其中
由f(i)=
得

即
![]()
于是

令a=l,则c=0,d=2.因此所求的分式线性映射为

实际问题中经常需要求将某些复杂的区域变为单位圆或上半平面的映射,并且要求该映射满足某些条件.但有时会遇到求出的映射不满足个别条件的情况.这时可考虑再利用单位圆到单位圆,或上半平面到上半平面的分式线性映射.