6.3.2 指数函数与对数函数
指数函数w = ez在全平面上解析,且(ez)′ = ez
0,因而在全平面上都是保角的.
设z =x+iy,w =ρeiφ,则由ρeiφ =ex·eiy得
![]()
由此可知,在w = ez映射下,z平面上的直线x = x0(实常数)映射成w平面上的圆周ρ = ex0,直线y = y0(实常数)映射成射线argw = φ = y0,带形域0 <y <y0(≤2π)映射成角形域0 <arg w <y0.特别地,带形域0 <y <2π映射成沿正实轴剪开的w平面:0 <arg w <2π(图6.19),且它们之间的点是一一对应的.

对数函数w = ln z是指数函数z = ew的反函数,它在区域D : -π <argz <π内解析,在D内

因此它在D内是保角映射.
对于角形区域D1 : α <argz <β(-π ≤α <β ≤π),在D1中z
0,设w =u+iv,由于
u=Rew =ln|z|,v =arg z =Imw,
因此区域D1映射为带形区域
(图6.20).
![]()

其逆映射z =ew将带形区域D*1映射为角形区域D1.
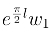
对于角形区域为0 <Argz <β(π <β ≤2π) 的情形.可用w1 = e-lπz使该区域内各点的辐角减少π变为
![]()
由于映射w1 = -z,w2 = lnw1,w = w2 +πi依次把区域0 <Argz <β变为-π <Argw1 <β-π,再变为-π <Imw2 <β-π,最后变为0 <Imw <β,其复合映射为w =ln(-z)+πi,逆映射-z =ew+πi =-ew,因此
![]()
综上,对于π <β ≤2π.指数映射w = ez仍然将带形区域0 <Imz <β映射为角形区域0 <Argw <β; 其逆映射z = ln(-w)+πi,也是保角映射,且是一一对应的.(https://www.daowen.com)
例3 试讨论对数映射w =ln z分别将下列区域映射为什么区域.
(1)D1 :|z|<1,0 <arg z <π
(2)D2 :|z|>1,0 <arg z <π
解 由于w =ln|z|+i arg z,
u=ln|z|,v =arg z
当z ∈D1时,有-∞<u <0,0 <v <π,
当z ∈D2时,有0 <u <∞,0 <v <π.
这表明,映射w =ln z分别将区域D1和D2 映射为D′1和D′2(图6.21).


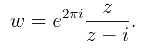
例4 求一函数,它把新月形域:
保角地映射成上半平面.
解 首先把新月形域映射成带形域,作分式线性映射w1 =
则z 平面上的点0,i,-i分别映射成w1平面上0,∞,
所给区域映射成竖带形域,带宽为![]()
其次作映射w2 =
=iw1,将竖带形域逆时针旋转
映射成横带形域.
再作映射w3 =2πw2,将带宽放大到π.
最后通过指数函数w =ew3将横带形域映射成上半平面(图6.23).
因此,将上述函数复合,得到所求的函数为
![]()
