6.4.2 施瓦茨-克里斯托费尔映射
实际应用中经常需要利用把上半平面一一对应地映射为某个多角形区域的保角映射及其逆映射,使问题先化简再求解.这里所谓多角形区域是指各边为直线段的多边形内部区域,其顶角(内角)αk 满足0 <αk <2π(k =1,2,,,n).由定理1和2,这样的映射一定存在,且其逆映射也是一一对应的保角映射.
这类映射称为施瓦茨-克里斯托费尔(Schwarz-Christoあel) 映射,或多角形映射.
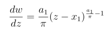
我们注意到,幂函数w = zn把以z = 0为顶点,张角为a1(0 ≤a1 ≤2π)的角形域映射成以w =0 为顶点,张角为na1的角形域.从而,映射将x轴上的点x1映射成w平面上的点w1,z平面的上半平面映射成顶点在w1,张角为a1的角形域(图6.27).这样,映射(6.4.1)可由下面的方程



表示.进而我们想到,把上半平面映射成一般的多角形区域的映射表示为下
列方程

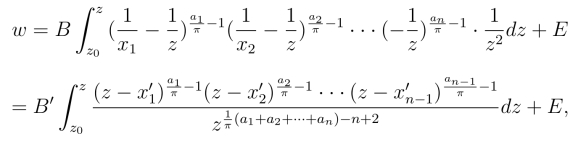
其中B,x1,x2,···,xn和a1,a2,···,an都是实常数,且x1 <x2 <···<xn.
下面我们给出结论.
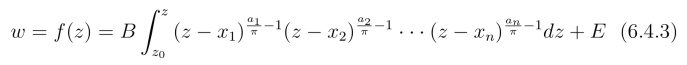
定理4(多角形映射) 设多角形区域Pn 的n个顶点沿其边界正向排列依次为w1,w2,···,wn; 对应的顶角依次为a1,a2,···,an,若映射

把实轴上的点xk映射为Pn的顶点wk(k = l,2,,,n;x1 <x2 <··· <xn),则该映射一定将上半平面Rez >0,一一对应且保角地映射为多角形区域Pn.其中B和E为待定常数,z0 为上半z 平面的某一定点,并且证明从略.
![]()
式(6.4.3)是由式(6.4.2)积分得到的.若式(6.4.3)中x1,x2和xn是任意给定的,并且可选取B和E 使f(x1)=w1,f(x2)=w2,又可取x3,x4,···,xn-1使f(xk)= wk(k = 3,4,···,n-1),则该多边形Pn的n-2 个边已经确定,另外两条边也由该式中的顶角w1 和wn-1所确定,从而这两条边的交点wn也由此给定.
即所取z0,B,E 和x1 <x2 <··· <xn,可使f(xn) = wn.因此,式(6.4.2) 中
点xk(k =1,2,···,n)有三个可以任意选取(用来确定B,E 和z0).适当选取这
些点可使求该映射的积分计算比较简便.
选取∞作为多角形的一个顶点,即取xn =∞,这时,式(6.4.3)就成为

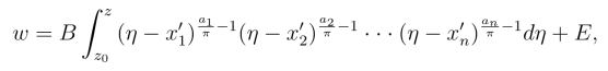
容易验证,映射
把z平面的上半平面映射成η平面的上半平面,并且把点
(https://www.daowen.com)
映射成点
![]()
其中

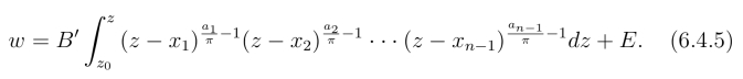
由定理4知,把η平面的上半平面映射成多角形区域的映射为

从而得到把z平面映射成多角形区域的映射为

由于a1+a2+···+an =(n-2)π,因此式(6.4.5)成立.
式(6.4.5)比式(6.4.3)的被积函数少了一个因子.这时,在x1,x2,···,xn-1中就只有两个是可以任意选择的了.
在实际问题中,多角形往往是变态多角形,就是说,它的顶点有一个或几个在无穷远.例如,Ak在无穷远,即wk =∞如图6.28所示.

如果规定:在无穷远点Ak处两条射线的交角αk等于这两条射线反向延长线在有限远交点A处的交角乘以-1,则施瓦茨一克里斯托费尔映射仍然成立.
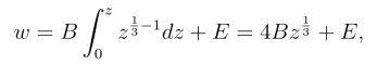
例1 求将上半平面Imz >0一一对应地映射为角形域0 <argw <π/3的保角映射w =f(z),并且使f(0)=0,f(∞)=∞,f(1)=1.
解 由式(6.4.5),该映射可表示为

由于f(0)=0,f(1)=1,因此E =0,4B =1.所求映射为w =z1/3.
由此可见,对于变态二角形区域,要使所求映射是唯一的,需要在该二角形边界上再取一点作为顶点把它视为三角形区域,并且给出这三个顶点在实轴上所对应的三个不同点.
例2 求将上半平面Imz >0一一对应地映射为带形域
的保角映射w = f(z),使f(l) = 0,f(∞) = w2,f(0) = w1.其中w1和w2分别为该带形域左、右两端的无穷远点,即所构成二角形区域的两个顶点.

解 该二角形区域在点w1和w2的顶角都为零,由式(6.4.5),所求映射为由f(1) = 0得E = 0.再由条件f(0) = w1和f(∞) = w2可以看出,当z从点z = 1沿实轴减少到零再无限减小时,对应点w 沿上述二角形边界的绕向是从w = 0 沿负实轴减少到w1 = f(0),然后再沿直线Imw = π 从顶点w1变到顶点w2.这表明,B为正实数,且当-∞<x <0时有

于是B =
所求映射为w =![]()