6.4.3 拉普拉斯方程的边值问题
实际应用中经常遇到这样的拉普拉斯方程的边值问题一广义狄利克莱(Dirichlet) 问题.即设Γ是有限复平面上单连通域D的边界,又定义函数g(p)在Γ上连续,或至多有有限个第一类间断点.试求在D内有界的调和函数φ(x,y),使对g(p)在Γ上的连续点P满足
![]()
这类问题中,对于区域D比较简单的情形,有时可直接利用在D内解析函数的实部或虚部都是调和函数来直接得到所求问题的解.但当区域复杂时,我们可通过一个适当的保角映射将问题简化,也就是把复杂的区域保角映射成一个简单的区域,但原来的边界条件也变成了新的边界条件.这样做能取得成效的主要原因是:一个拉普拉斯方程的解经过保角映射仍然是相应的拉普拉斯方程的解.
对于D为复杂区域的情形,用第3章的方法可构造在D内的解析函数w =φ(x,y)+iψ(x,y)或w =ψ(x,y)+iφ(x,y)然后利用一一对应的保角映射w =f(z)将D映射为比较简单的区域G(如上半平面).由定理1知其逆映射也是解析的,可表示为
![]()
于是复合函数
![]()
或
w =ψ[x(u,v),y(u,v)]+iφ[x(u,v)+y(u,v)]
一定在G内解析,其实部或虚部
φ(u,v)=φ[x(u,v),y(u,v)]
也是G内的调和函数.
另外,如果w = f(z)将D的边界Γ映射为Γ*使Γ上的点P(x′,y′) 映射为Γ*上点P*(u′,v′),且使函数g(P) = g[x(u′,v′),y(u′,v′)],那么当φ(u,v)满足边界条件

时,只要f(z)在
=D+Γ上连续,函数φ(x,y)一定满足边界条件(6.4.6).于是得到
定理5 设D和G是有限复平面上分别以Γ和Γ*为边界的单连通域.若函数w = f(z)是将
一一对应地映射为G的保角映射,它在
= D +Γ上连续,其逆映射为z = x(u,v)+iy(u,v),且使在D内的调和函数φ(x,y)映射为φ(u,v),则φ(u,v) 为G 内的调和函数; 且当φ(u,v)满足边界条件(6.4.7) 时,φ(x,y)-定满足边界条件(6.4.6).
利用该定理,可将复杂区域D上拉普拉斯方程的边值问题转化为简单区域G上对应的边值问题来求解.(https://www.daowen.com)
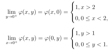
例3 求在角形域0 <arg z <π/2内的调和函数φ(x,y),使它满足边界条件

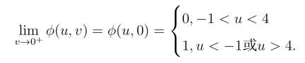
解 先用一一对应的保角映射w = z2将该角形域映射为上半w平面Imw >0,并且设φ(u,v) = φ[x(u,v),y(u,v)],由于w = z2 = (x+yi)2 =x2-y2+2xyi,则u=x2-y2,v =2xy.所给边界条件变为新的边界条件

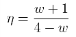
注意到分式线性映射

将上半w平面映射为上半η平面,于是

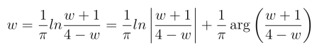
在Imw >0内解析,且将该上半平面映射为带形域0 <Imw <1.
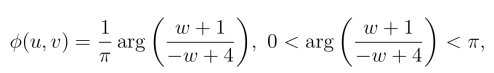
记

由于φ(u,v)是解析函数的虚部,因而是Imw >0 内的调和函数.易见φ(u,v)满足新的边界条件.
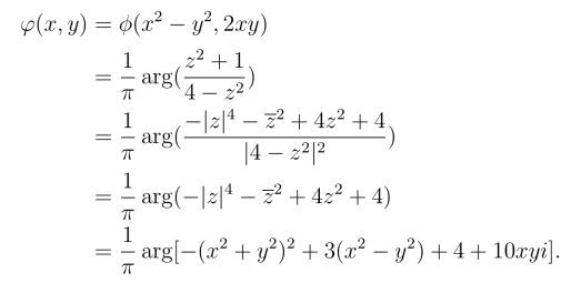
将u=x2-y2,v =2xy或w =z2代入可得

所求调和函数为

其中A=-(x2+y2)2+3(x2-y2)+4,B =10xy.