7.1.1 傅里叶(Fourier)积分公式
2026年01月14日
7.1.1 傅里叶(Fourier)积分公式
定理1(傅氏积分定理) 若函数f(x)在(-∞,+∞)内有定义,且满足
(1)在任一有限区间上满足狄利克雷条件,即在任意区间内满足: 连续或只有有限个第一类间断点; 只有有限个极值点;
(2)在无限区间(-∞,+∞)内绝对可积(即积分
收敛),则在f(x)的连续点上有

成立,而左端的f(t)在它的间断点t处,应以

来代替.
这个定理称为傅里叶积分定理,简称为傅氏积分定理,其中所列的条件是充分的,它的证明需要用到较多的基础理论,证明略.
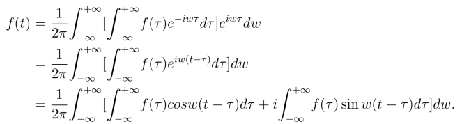
利用欧拉公式还可以把傅里叶积分公式化为三角形式

考虑到积分
是w的奇函数,
是w的偶函数,从而

(7.1.3)又可以表为

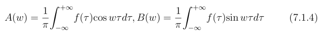
若记(https://www.daowen.com)

则

可以看出傅氏积分(7.1.5)式及系数公式(7.1.4)与函数的傅氏级数及系数公式在形式上极其相似,所不同的是级数的累加是离散的,积分形式的累加是连续的.
当f(t)为偶函数时,
此时

称之为f(t)的余弦傅氏积分公式.
当f(t)为奇函数时,A(w)=0,B(w)=
此时

称之为f(t)的正弦傅氏积分公式.
若函数f(t)只在(0,+∞)上有定义,且满足傅氏积分定理的条件,则只要作函数的偶式延拓或奇式延拓,便可得到f(t)的余弦傅氏积分公式或f(t)的正弦傅氏积分公式.
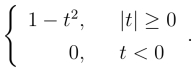
例1 设函数f(t)=
(1)求f(t)的傅里叶变换;
(2)计算![]()