7.2.1 单位脉冲函数
脉冲函数也称δ-函数,是英国物理学家狄拉克(Dirac)在20世纪20年代引入的,用于描述瞬间或空间几何点上的物理量.例如,瞬时的冲击力,脉冲电流或电压等急速变化的物理量,以及质点的质量分布,点电荷的电量分布等在空间或时间上高度集中的物理量.
下面我们将通过计算点电荷的电荷密度引入脉冲函数的概念.
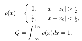
设一条中心位于x0,长度为l,总电量为1的均匀带点细线,其线电荷密度ρ(x)及总电量Q分别为

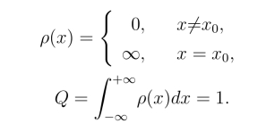
当l →0时,电荷分布可看作位于x0的单位点电荷,这时的线密度及总电量分别为

由此引入脉冲函数的定义.
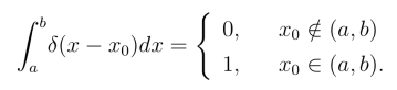
定义1 称具有下列性质的函数为狄利克雷函数或脉冲函数,简称(δ)-函数.
(1)

(2)
