7.1.2 傅里叶变换
2026年01月14日
7.1.2 傅里叶变换
本节主要研究将任意函数分解为正弦曲线的问题,我们知道如何将周期函数表示为一个傅里叶级数,因此,对于非周期函数,我们也希望找到类似的表达.
如果函数f(t)满足傅氏积分定理的条件,在f(t)的连续点处有

若令

则

(7.1.6),(7.1.7)两式表明,f(t)和F(w)可以通过积分运算相互表示.
(7.1.6)称为f(t)的傅里叶变换式(简称傅氏变换),记为
![]()
F(w)称为f(t)的傅氏变换的象函数.
(7.1.7)称为F(w)的傅里叶逆变换式(简称傅氏逆变换),记为
f(t)=F-1[F(w)],
f(t)称为F(w)的傅氏变换的象原函数.通常称象函数F(w)和象原函数f(t)构成一个傅氏变换对,即
(https://www.daowen.com)
例2 求函数F(t)=
的傅里叶变换,并验证F的傅里叶反演公式.
解 函数F(t) =
在去除极点t = ±2i外解析,利用留数定理求傅里叶变换,并取积分的主值:

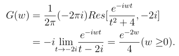
若w ≥0,在下半平面内用不断扩大的半圆周作闭合周线得到

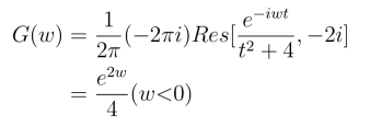
同理对于w<0,在下半平面内作闭合周线,得

所以![]()
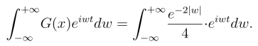
为了验证傅里叶反演公式,我们计算

由对称性知,上式的虚部等于0,积分等于

因此
